Productos notables

Description

Por Leonardo Barrantes
Leonardo Elias B
Mind Map by Leonardo Elias B, updated more than 1 year ago
Leonardo Elias B
Created by Leonardo Elias B about 11 years ago
22
0

Resource summary

Productos notables
  1. Cuadrado de un trinomio
    1. El cuadrado de un trinomio es igual a la suma de los cuadrados de cada uno de los terminos , mas el doble producto de cada termino por los que siguen tomados de dos en dos
    2. Son aquellas expresiones algebraicas que se encuentran frecuentemeente y que es preciso saber factorizarlas a simple vista
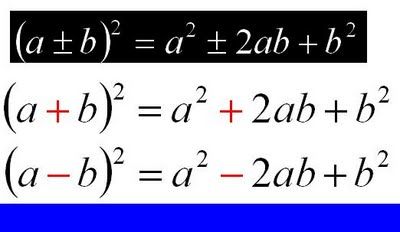
      1. Cuadrado de un binomio
        1. Para elevar un binomio al cuadrado, se suman los cuadrados de cada termino con el doble del producto.
        2. Binomios conjugados
          1. El producto de dos numeros por su diferencia es igual al cuadrado del primer numero menos el cuadrado del segundo numero
          2. Cubo de un binomio
            1. El cubo de la suma de dos numeros es igual al cubo del primer numero mas el triple del producto del cuadrado del primero numero por el segundo mas el triple del producto del primer numero por el cuadrado del segundo mas el cubo del segundo numero
            Show full summary Hide full summary

            Similar

            PRODUCTOS NOTABLES
            Jhostin Fuel
            Algebra
            Jadi Gacha
            casos de factorizacion productos notables
            william adolfo urrea varon
            PRODUCTOS NOTABLES
            ANGELES XIOMARA FUENTES PARIAN
            Algebra
            Jadi Gacha