Waves

Description

A level Physics Mind Map on Waves, created by mollyjo23 on 09/04/2015.
mollyjo23
Mind Map by mollyjo23, updated more than 1 year ago
mollyjo23
Created by mollyjo23 almost 11 years ago
40
1

Resource summary

Waves
  1. PROGRESSIVE WAVES
    1. Progressive waves distribute energy from a point source to a surrounding area. They move energy in the form of vibrating particles or fields.
      1. There are 2 types of progressive waves
        1. Transverse waves - vibrations are perpendicular to the wave motion - so if the wave is travelling horizontally, the vibrations will be up and down.
          1. Longitudinal waves - vibrations are parallel to the wave motion - so if the wave is travelling horizontally, the particles have compressions and rarefactions. The particle movement is a series of compressions and rarefactions
          2. Describing Waves
            1. Amplitude (A) is the maximum displacement of a particle in a wave from its equilibrium position. It is measured in metres (m).
              1. Frequency (f) is the number of complete waves passing a point in one second. It is measured in hertz (Hz).
                1. Wavelength (l) is the distance between two identical points on a wave (i.e. one full wave). It is measured in metres (m).
                  1. Period (T)is the time taken for one complete oscillation of a particle in the wave. (Distance between two crests on a displacement/time graph). It is measured in seconds (s)
                  2. Wave speed (c) is measured in metres per second (ms-1).
                    1. wave speed = frequency*wavelength
                    2. Phase
                      1. Phase angle is the position along the wave, which is normally measured in degrees or radians. One complete wave is 360 degrees, so from a peak to a trough will be a change in phase of 180 degrees.
                        1. Points on a wave which are always travelling in the same direction, rising a falling together, are in phase with each other.
                        2. If we measure the distance travelled by two waves and then compare those distances, any difference in the distances travelled is called the path difference. Path difference is measured in metres (m).
                        3. LONGITUDINAL AND TRANSVERSE WAVES
                          1. Mechanical waves occur in a medium (solid, liquid or gas).
                            1. Use particles to transfer energy (neighbouring particles bump into each other and set their neighbours moving).
                            2. Longitudinal waves are waves where the displacement of the particles in the the same direction as the wave is travelling in
                              1. Transverse waves are waves where the displacement of the particles in the medium is perpendicular to the direction the wave is travelling in.
                                1. Electromagnetic waves are oscillating electric an magnetic fields they include radio waves, microwaves, infra-red, visible light, ultra-violet, x-rays and gamma rays.
                                  1. Electromagnetic waves are transverse waves and they all travel at the speed of light ( 3 x 108 ms-1 ) in a vacuum.
                                    1. Don't need particles
                                      1. Can be reflected, refracted, diffracted and polarised
                                      2. POLARISATION
                                        1. Plane polarisation is the method of allowing only waves orientated in the same direction - only allowing vibrations in one plane.
                                          1. When this light is passed through a polaroid material only light waves in one plane are transmited and the light is now polarised.
                                          2. Polarisation is the orientation of vibration perpendicular to the direction of energy travel.
                                            1. Transverse waves can be polarised but longitudinal waves cannot
                                              1. Longitudinal waves cannot be plane polarised because the direction of vibration and direction of propagation are the same
                                              2. Fishermen wear Polaroid glasses to eliminate reflected glare from the surface of a lake or stream and they can therefore see beneath the water more clearly.
                                            2. REFRACTION
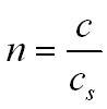
                                              1. Refractive Index
                                                1. The refractive index (n) of a material is the ratio of the speed of light (c) in a vacuum to the velocity of light in the material (cS).
                                                  1. The refractive index of a material is always greater than 1.
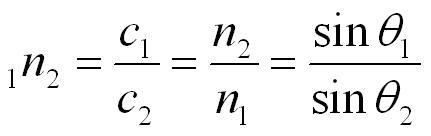
                                                  2. Wavespeed changes when a wave moves from one medium to another. That makes the wave refract.
                                                    1. If a light ray speeds up it bends away from the normal
                                                      1. if a ray slows down it bends towards the normal
                                                      2. Snell's Law
                                                        1. Relates to the change in direction to the change in speed that takes place.
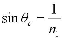
                                                        2. Critical Angle
                                                          1. Total Internal Reflection
                                                            1. Optical Fibres
                                                              1. Optical fibres are just 'reflective tubes'. If you shine light down the tube, and it keeps going because it bounces from the walls
                                                                1. Optical fibres are used to carry signals in the form of pulses of ligh
                                                                  1. Optical fibres are used in medical instruments called endoscopes and they are used in communications
                                                                  2. The refractive index of the first medium is greater than the refractive index of the second medium (n1>n2)
                                                                    1. The angle of incidence must be greater than the critical angle (i>c)
                                                                      1. Occurs when a propagating wave strikes a medium boundary at an angle larger than a particular critical angle with respect to the normal to the surface.
                                                                      2. When the angle of incidence in water reaches a certain critical value, the refracted ray lies along the boundary, having an angle of refraction of 90-degrees. This angle of incidence is known as the critical angle; it is the largest angle of incidence for which refraction can still occur.
                                                                        1. When light passes from one medium (material) to another it changes speed. This is because the speed of a wave is determined by the medium through which it is passing.
                                                                          1. When light speeds up as it passes from one material to another, the angle of refraction is bigger than the angle of incidence.
                                                                          2. At any angle of incidence greater than the critical angle, the light cannot pass through the surface - it is all reflected.
                                                                        2. SUPERPOSITION OF WAVES, STATIONARY WAVES
                                                                          1. Superposition of Waves
                                                                            1. When two waves pass through the same point they combine together to either constructively interfere with each other or destructively interfere with each other before passing on past each other and continuing their separate journeys
                                                                            2. Constructive Interference
                                                                              1. The two waves are in phase with each other and constructively interfere to give a wave of greater amplitude.
                                                                                1. However the waves will have double amplitude
                                                                                2. Destructive Interference
                                                                                  1. The two waves are out of phase (anti-phase) with each other and destructively interfere to give a wave of zero amplitude.
                                                                                    1. The waves in antiphase will cancel each other out.
                                                                                    2. Stationary Waves
                                                                                      1. Stationary waves are formed by two waves with the same frequency travelling in opposite directions
                                                                                        1. has parts that remain in a constant position
                                                                                          1. Nodes == Points of no displacement - remain in the same position. Particles at those points are not vibrating at all.
                                                                                            1. Antinodes == Points on the waveform where the particles suffer maximum displacement.
                                                                                          2. INTERFERENCE
                                                                                            1. Coherent
                                                                                              1. Two waves are coherent if the phase difference between them is constant. For this to be the case they must have the same frequency.
                                                                                                1. Two waves are said to be in phase if their crests and troughs meet at the same place at the same time, and the waves are out of phase if the crests of one meet the troughs of another.
                                                                                                  1. To be coherent:
                                                                                                    1. be of the same frequency - monochromatic - temporally in phase
                                                                                                      1. have a constant phase difference - have a constant spatial phase relationship
                                                                                                        1. be of the same amplitude
                                                                                                      2. Monochromatic
                                                                                                        1. means having only one wavelength of light present.
                                                                                                        2. Interference is the effect of the superposition of waves
                                                                                                          1. Where the 2 crests of the wave meet, causes constructive interference; but where a crest meets a trough, destructive interference occurs
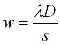
                                                                                                          2. Young's Double Slit Experiment
                                                                                                            1. When laser light passes through a slit it is diffracted. If there are two slits present the light will diffract at both slits.
                                                                                                              1. The frequency, wavelength and speed of the waves is not altered.... but the amplitude of the part of the wave that spreads out is lower - as the energy is distributed over a bigger area!
                                                                                                                1. If a screen is placed on the other side of the slits from the laser an interference pattern is seen. It produces a series of bright and dark fringes.
                                                                                                                  1. w = fringe spacing in metres (m) l = wavelength of the light in metres (m) D = distance between the double slits and the screen in metres (m) s = slit separation in metres (m)
                                                                                                                2. NORMAL
                                                                                                                  1. A normal is the line you draw perpendicular to the boundary (at right angles to it). It is drawn so that you can measure angles from it
                                                                                                                  2. DIFFRACTION
                                                                                                                    1. Diffraction happens when a wave hits an obstacle or gap, diffraction is greatest when the gap is about the same size as the wavelength of the wave. The waves bend round the object or spread out when they pass through the gap, this is called diffraction.
                                                                                                                      1. If the gap is small the circular disturbances that get through are massive compared to the undistrubed wavefronts. Therefore hardly any of the energy just continues through without change
                                                                                                                        1. If the gap is large, compared to the wavelength of the waves passing through ,the circular disturbances are tiny compared to the undistrubed wavefronts. Therefore most of the energy just continues through without change.
                                                                                                                        2. Single Slit
                                                                                                                          1. When monochromatic laser light is shone through a narrow single slit a diffraction pattern is produced consisting of light and dark fringes. It produces a wide central bright fringe. The other bright fringes get dimmer as you move away from the centre.
                                                                                                                          2. Diffraction Grating
                                                                                                                            1. A diffraction grating is a piece of glass with lots of closely spaced parallel lines on it each of which allows light to pass through it, this is a transmission diffraction grating.
                                                                                                                              1. Diffraction gratings are used in spectrometers. The diffraction grating splits up the light into a spectra.
                                                                                                                                1. d = grating spacing in metres (m) J = angle of diffraction n = order number l = wavelength on the light in metres (m)
                                                                                                                              2. Emma
                                                                                                                                1. Emma is Life
                                                                                                                                  1. Emma is Love

                                                                                                                                  Media attachments

                                                                                                                                  Show full summary Hide full summary

                                                                                                                                  Similar

                                                                                                                                  Waves
                                                                                                                                  kate.siena
                                                                                                                                  P4 Light
                                                                                                                                  ShreyaDas
                                                                                                                                  AQA Physics P1 Quiz
                                                                                                                                  Bella Statham
                                                                                                                                  GCSE AQA Physics - Unit 3
                                                                                                                                  James Jolliffe
                                                                                                                                  Using GoConqr to study science
                                                                                                                                  Sarah Egan
                                                                                                                                  GCSE AQA Physics 1 Energy & Efficiency
                                                                                                                                  Lilac Potato
                                                                                                                                  Forces and their effects
                                                                                                                                  kate.siena
                                                                                                                                  Forces and motion
                                                                                                                                  Catarina Borges
                                                                                                                                  Junior Cert Physics formulas
                                                                                                                                  Sarah Egan
                                                                                                                                  OCR Physics P4 Revision
                                                                                                                                  Dan Allibone
                                                                                                                                  P2 Radioactivity and Stars
                                                                                                                                  dfreeman