null
US
Sign In
Sign Up for Free
Sign Up
We have detected that Javascript is not enabled in your browser. The dynamic nature of our site means that Javascript must be enabled to function properly. Please read our
terms and conditions
for more information.
Next up
Copy and Edit
You need to log in to complete this action!
Register for Free
26937136
TIPOS DE ÁLGEBRA
Description
Mind Map on TIPOS DE ÁLGEBRA, created by Paola Francisca Arias on 26/10/2020.
Mind Map by
Paola Francisca Arias
, updated more than 1 year ago
More
Less
Created by
Paola Francisca Arias
about 5 years ago
8
0
0
Resource summary
TIPOS DE ÁLGEBRA
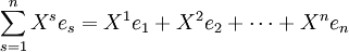
LINEAL
Annotations:
es un campo de las matemáticas que estudia la homología en un marco algebraico general.
BOLEANA
Annotations:
en informática y matemática, es una estructura algebraica que esquematiza las operaciones lógicas
MULTILINEAL
Annotations:
es una área de estudio que generaliza los métodos del álgebra lineal.
HOMOLÓGICA
Annotations:
es un campo de las matemáticas que estudia la homología en un marco algebraico general.
CONMUTATIVA
Annotations:
es el campo de estudio de los anillos conmutativos, sus ideales, módulos y álgebras
ELEMENTAL
Annotations:
El la madre, es decir, el Álgebra general
Media attachments
Algebra Lineal Curso 1 (image/jpeg)
400px Chain Co Morph (image/png)
F4a0777ae8169e8d2d329114b3a84d6b (image/png)
Comb Or (image/png)
Ae3b84cc2f2f3157e4a6730cb4831960 (image/jpeg)
Descarga (image/png)
Show full summary
Hide full summary
Want to create your own
Mind Maps
for
free
with GoConqr?
Learn more
.
Similar
Browse Library