FP1

Description

Mind map of the entire FP1 module including equations and diagrams
rb.russell1
Mind Map by rb.russell1, updated more than 1 year ago
rb.russell1
Created by rb.russell1 almost 11 years ago
57
1

Resource summary

FP1
  1. Complex Numbers
    1. i= √(-1)
      1. i^2= -1
        1. i^odd= ± i
          1. i^even= ± 1
          2. Dividing
            1. "realise" the denominator
              1. if you have x/(a+bi)
                1. times by (a-bi)/(a-bi)
                  1. sames as x1
                    1. complex conjugate
                      1. if z = a+ib
                        1. z*=a-ib
                          1. zz*= real no.
                            1. difference of 2 squares
                  2. make bottom a real no.
                2. modulus and argument
                  1. argand diagram
                    1. vectors
                      1. magnitude
                        1. modulus, r or |z|
                          1. length
                            1. pythag
                        2. direction
                          1. argument, Arg(z)
                            1. angle between vector and x-axis
                              1. tanθ= y/x
                      2. modulus-argument form
                        1. if z=x+iy
                          1. by trig
                            1. x=rcosθ
                              1. y=rsinθ
                              2. z=r(cosθ+i sinθ)
                          2. in equations
                            1. equating real and imaginary
                              1. if a+ib=c+id
                                1. a=c and b=c
                                2. find √(15+8i)
                                  1. let √(15+8i)= a+ib
                                    1. 15+8i=(a+ib)^2
                                      1. etc.
                                3. quadratic roots
                                  1. if z is a root
                                    1. so is z*
                              2. Co-ordinate Systems
                                1. Parabola
                                  1. equation
                                    1. cartesian
                                      1. y^2=4ax
                                      2. parametric
                                        1. x=at^2
                                          1. y=2at
                                    2. Rectangular Hyperbola
                                      1. equations
                                        1. cartesian
                                          1. xy=c^2
                                          2. Parametric
                                            1. x=ct
                                              1. y=c/t
                                        2. tangents and normals
                                          1. m(t)=dy/dx
                                            1. m(n)=-1/m(t)
                                              1. m(n)x m(t)=-1
                                            2. y-y1=m(x-x1)
                                          2. Proof by Induction
                                            1. method
                                              1. prove true for n=1
                                                1. assume true for n=k
                                                  1. show true for n=k+1
                                                    1. state true for all n≥1 where nϵ Ζ+
                                              2. types
                                                1. series
                                                  1. swap k for n
                                                    1. NOT r
                                                  2. divisibility
                                                    1. consider f(k+1)-mf(k)
                                                      1. show difference is divisible by a
                                                        1. therefore f(k+1) is also divisible by a
                                                          1. remember rules of indicies
                                                            1. a^n x a^m= a^n+m
                                                              1. (a^n)^m= a^nm
                                                      2. Matrices
                                                        1. Sub step 2 into step 3
                                                          1. M^k+1
                                                            1. same as M(M^k)
                                                        2. recurrence relationships
                                                          1. show true for
                                                            1. n=1 AND n=2
                                                              1. for step 3
                                                                1. use recurrence formula for U k+1
                                                                  1. sub U k in
                                                        3. write your target!
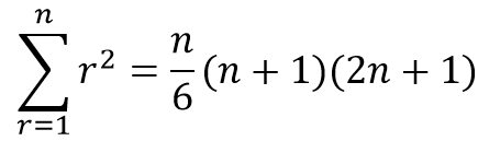
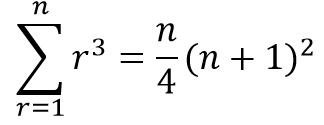
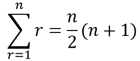
                                                        4. Series
                                                          1. General formulae
                                                            1. r
                                                              1. r^2
                                                                1. r^3
                                                                  1. 1
                                                                  2. sum between 2 limits
                                                                    1. sum up to top limit
                                                                      1. minus sum up to bottom limit -1
                                                                    2. to show a summation formula = ....
                                                                      1. take out common factors
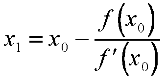
                                                                    3. Numerical Methods
                                                                      1. show root in interval [a,b]
                                                                        1. find f(a) and f(b)
                                                                          1. change in sign
                                                                            1. root between a and b
                                                                        2. Interval bisection
                                                                          1. next estimate
                                                                            1. midpoint
                                                                              1. (a+b)/2
                                                                                1. between a and b
                                                                                  1. where f(a) -ve and f(b) +ve
                                                                            2. linear interpolation
                                                                              1. if root lies in [a,b]
                                                                                1. use similar triangles
                                                                                  1. or formula
                                                                                    1. not in data book
                                                                                2. Newton Raphson
                                                                                  1. find f'(x)
                                                                                    1. write out f(a) and f'(a)
                                                                                    2. in formula book
                                                                                      1. doesn't work @ turning point
                                                                                        1. f'(x)=0
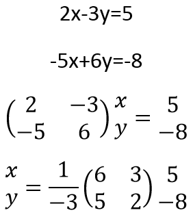
                                                                                  2. Matrices
                                                                                    1. multiplying
                                                                                      1. only multiply if
                                                                                        1. no. of columns of 1st matrix
                                                                                          1. same as no. of rows of 2nd
                                                                                            1. product dimensions
                                                                                              1. same no. rows as 1st matrix
                                                                                                1. Same no. of columns as 2nd
                                                                                          2. not comutative
                                                                                            1. AB≠BA
                                                                                          3. dimensions
                                                                                            1. (nxm)
                                                                                              1. n= rows
                                                                                                1. m=columns
                                                                                                  1. simultaneous equations
                                                                                            2. Transformations
                                                                                              1. vectors
                                                                                                1. position vector
                                                                                                  1. from origin
                                                                                                    1. can be written (x,y)
                                                                                                      1. translation vector
                                                                                                        1. from given point
                                                                                                2. linear
                                                                                                  1. linear expressions
                                                                                                    1. point (0,0) unchanged
                                                                                                      1. reflections
                                                                                                        1. y-axis
                                                                                                          1. x-axis
                                                                                                          2. y=x
                                                                                                            1. y=-x
                                                                                                          3. enlargement
                                                                                                            1. scale factor a
                                                                                                            2. rotation
                                                                                                              1. 180°
                                                                                                                1. 90°
                                                                                                                  1. clockwise
                                                                                                                    1. anticlockwise
                                                                                                                    2. 45°
                                                                                                                      1. clockwise
                                                                                                                        1. anticlockwise
                                                                                                                2. inverse matrix
                                                                                                                  1. transforms back to original
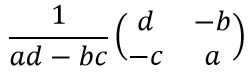
                                                                                                                3. Inverse
                                                                                                                  1. A^-1
                                                                                                                    1. AA^-1=I
                                                                                                                      1. I= identity matrix
                                                                                                                        1. determinant
                                                                                                                          1. ad-bc
                                                                                                                            1. singular if =0
                                                                                                                              1. transform shape
                                                                                                                                1. straight line
                                                                                                                                  1. 0 area

                                                                                                                  Media attachments

                                                                                                                  Show full summary Hide full summary

                                                                                                                  Similar

                                                                                                                  CUMULATIVE FREQUENCY DIAGRAMS
                                                                                                                  Elliot O'Leary
                                                                                                                  GCSE Maths: Understanding Pythagoras' Theorem
                                                                                                                  Micheal Heffernan
                                                                                                                  Maths GCSE - What to revise!
                                                                                                                  livvy_hurrell
                                                                                                                  GCSE Maths Symbols, Equations & Formulae
                                                                                                                  Andrea Leyden
                                                                                                                  FREQUENCY TABLES: MODE, MEDIAN AND MEAN
                                                                                                                  Elliot O'Leary
                                                                                                                  HISTOGRAMS
                                                                                                                  Elliot O'Leary
                                                                                                                  GCSE Maths: Geometry & Measures
                                                                                                                  Andrea Leyden
                                                                                                                  Using GoConqr to study Maths
                                                                                                                  Sarah Egan
                                                                                                                  New GCSE Maths
                                                                                                                  Sarah Egan
                                                                                                                  GCSE Maths Symbols, Equations & Formulae
                                                                                                                  livvy_hurrell
                                                                                                                  STEM AND LEAF DIAGRAMS
                                                                                                                  Elliot O'Leary