SUCESIONES

Description

Mind Map on SUCESIONES, created by ANGIE PAOLA NOREÑA JIMENEZ on 20/05/2021.
ANGIE PAOLA NOREÑA JIMENEZ
Mind Map by ANGIE PAOLA NOREÑA JIMENEZ, updated more than 1 year ago
ANGIE PAOLA NOREÑA JIMENEZ
Created by ANGIE PAOLA NOREÑA JIMENEZ over 4 years ago
25
0

Resource summary

SUCESIONES
  1. Es un conjunto ordenado de números llamados términos, que se designan con una letra y un subíndice que se corresponde con el lugar que ocupan.
    1. a1, a2, a3 ,..., an 3, 6, 9, ..., 3n
      1. Los números a1, a2 , a3 , ... se llaman términos de la sucesión.
        1. El subíndice indica el lugar que el término ocupa en la sucesión.
          1. El término general es an. Es un criterio que nos permite determinar cualquier término de la sucesión.
            1. Una sucesión se suele expresar entre llaves: {an} o entre paréntesis (an)
      2. En función del número que tengan, las sucesiones pueden ser finitas o infinitas.
        1. Crecientes si cada término es mayor que su anterior.
          1. a n ≤ a n + 1
          2. Decrecientes si cada término es menor que su anterior,
            1. a n ≥ a n + 1
            2. DETERMINACIÓN DE UNA SUCESION
              1. Por el término general:
                1. an = 2n – 1
                  1. a1 = 2 · 1 – 1 = 1 a2 = 2 · 2 – 1 = 3 a3 = 2 · 3 – 1 = 5 a4 = 2 · 4 – 1 = 7
                    1. {an} = 1, 3, 5, 7,..., 2n – 1
                      1. No todas las sucesiones tienen término general.
                        1. Por ejemplo, la sucesión de los números primos:
                          1. 2, 3, 5, 7, 11, 13, 17, 19, 23,...
                2. Por una ley de recurrencia:
                  1. Los términos se obtienen operando con los anteriores.
                    1. Escribir una sucesión cuyo primer término es 2, sabiendo que cada término es el cuadrado del anterior.
                      1. 2, 4, 16, 256, ...
                    1. OPERACIONES CON SUCESIONES
                      1. Dadas las sucesiones an y bn:
                        1. an= a1, a2, a3, ..., an bn= b1, b2, b3, ..., bn
                        2. Suma de sucesiones:
                          1. (an) + (bn) = (an + bn)
                            1. (an) + (bn) = (a1 + b1, a2 + b2, a3 + b3, ..., an + bn)
                            2. Propiedades:
                              1. Sucesión opuesta
                                1. (–an) = (–a1, –a2, –a3, ..., –an)
                                  1. an + (–an) = 0
                                2. Elemento neutro
                                  1. (0) = (0, 0, 0, ...)
                                    1. an + 0 = an
                                  2. Asociativa:
                                    1. (an + bn) + cn = an + (bn + cn)
                                    2. Conmutativa:
                                      1. an + bn = bn + an
                                  3. Diferencia de sucesiones
                                    1. (an) · (bn) = (an · bn)
                                      1. (an) · (bn) = (a1 · b1, a2 · b2, a3 · b3, ..., an · bn)
                                    2. Producto de sucesiones
                                      1. Elemento neutro:
                                        1. (1) = (1, 1, 1, ...)
                                          1. an · 1 = an
                                        2. Distributiva respecto a la suma:
                                          1. an · (bn + cn) = an · bn + an · c n
                                          2. Asociativa:
                                            1. (an · bn) · cn = an · (bn · cn)
                                            2. Conmutativa:
                                              1. an · bn = bn · an
                                          3. Cociente de sucesiones:
                                            1. Sólo es posible el cociente entre dos sucesiones si el denominador es inversible.
                                            2. Sucesión inversible:
                                              1. Una sucesión es inversible o invertible si todos sus términos son distintos de cero.
                                                1. Si la sucesión bn es inversible, su inversa es::
                                            3. CLASIFICACIÓN
                                              1. Monótonas
                                                  1. Una sucesión a n es monótona creciente (o simplemente creciente) cuando cada término es mayor o igual que el anterior:
                                                    1. Es estrictamente creciente si el signo es estricto:
                                                      1. Una sucesión a n es monótona decreciente (o simplemente decreciente) cuando cada término es menor o igual que el anterior:
                                                        1. Es estrictamente decreciente si el signo es estricto:
                                                          1. Una sucesión a n es constante cuando todos tus términos son iguales:
                                                          2. Oscilantes
                                                            1. No son convergentes ni divergentes.
                                                              1. Sus términos alternan de mayor a menor o viceversa.
                                                                1. 1, 0, 3, 0 ,5, 0, 7, ...
                                                            2. Acotadas
                                                              1. Se dice acotada si está acotada superior e inferiormente
                                                                1. Es decir si hay un número k menor o igual que todos los términos de la sucesión y otro K' mayor o igual que todos los términos de la sucesión.
                                                                  1. Por lo que todos los términos de la sucesión están comprendidos entre k y K'.
                                                                    1. k ≤ an ≤ K'
                                                                2. Una sucesión a n es acotada inferiormente cuando ninguno de sus términos es menor que algún número K :
                                                                  1. Una sucesión a n es acotada superiormente cuando ninguno de sus términos es mayor que algún número K :
                                                                  2. Aritméticas
                                                                    1. Cuando cada término es la suma del término anterior más un número constante, al que llamamos diferencia y denotamos por d.
                                                                      1. a n + 1 = a n + d
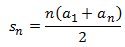
                                                                        1. Suma de los n primeros términos:
                                                                          1. Es de la forma:
                                                                            1. Diferencia:
                                                                              1. Término general:
                                                                                1. Decreciente si d < 0
                                                                                  1. Creciente si d > 0
                                                                                    1. Constante si d = 0
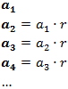
                                                                                  2. Geométricas
                                                                                    1. Cuando cada término es el término anterior multiplicado por un número constante, al que llamamos razón y denotamos por r .
                                                                                      1. a n + 1 = a n ⋅ r
                                                                                        1. Es de la forma:
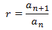
                                                                                          1. Razón:
                                                                                            1. Término general:
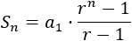
                                                                                              1. Suma de todos los términos:
                                                                                                1. Suma de los n primeros términos:
                                                                                                  1. Primer término es positivo
                                                                                                    1. Decreciente si 0 < r < 1
                                                                                                      1. Creciente si r > 1
                                                                                                      2. Primer término es negativo
                                                                                                        1. Creciente si 0 < r < 1
                                                                                                          1. Decreciente si r > 1
                                                                                                          2. Independientemente del primer término, es constante si r = 1 y es alternada si r es negativo (cambia el signo en cada término).
                                                                                                        2. Distancia al límite:
                                                                                                          1. Si una sucesión a n converge a L , la distancia entre el término a m y el límite L es
                                                                                                        3. EJEMPLOS RELEVANTES EN LA HISTORIA
                                                                                                          1. Sucesión de Fibonacci:
                                                                                                            1. Secuencia infinita de números naturales; a partir del 0 y el 1, se van sumando a pares, de manera que cada número es igual a la suma de sus dos anteriores
                                                                                                              1. 0, 1, 1, 2, 3, 5, 8, 13, 21, 34, 55…
                                                                                                                  1. A los elementos de esta sucesión se les llama números de Fibonacci.
                                                                                                                    1. El nombre de sucesión de Fibonacci se lo debe a Leonardo de Pisa, matemático italiano del siglo XIII también conocido como Fibonacci.
                                                                                                                1. Esta secuencia está muy presente en la naturaleza, como se puede observar en las siguientes imágenes.
                                                                                                                      1. No sólo la encontramos en la naturaleza, sino en el diseño y el arte, se pueden observar números ejemplos de esta fascinante espiral.
                                                                                                                            1. Número áureo:
                                                                                                                              1. Si divides cualquier número en la secuencia de Fibonacci por el anterior
                                                                                                                                1. 55/34, o 21/13
                                                                                                                                  1. La respuesta siempre es cercana a 1.61803.
                                                                                                                                2. Es un número especial que se encuentra al dividir una línea en dos partes
                                                                                                                                  1. La parte más larga (a) dividida por la parte más pequeña (b) es igual a la longitud total dividida por la parte más larga.
                                                                                                                                    1. A menudo, el número áureo se simboliza usando phi, la 21ª letra del alfabeto griego.
                                                                                                                                  2. La secuencia de Fibonacci también es conocida como la secuencia dorada
                                                                                                                                    1. Pues ese 1,61803 es lo que se conoce como el número áureo.
                                                                                                                                    2. Esos números se pueden aplicar a las proporciones de un rectángulo, llamado el rectángulo dorado
                                                                                                                                      1. Considerado como una de las formas geométricas más satisfactorias visualmente.
                                                                                                                                        1. El rectángulo dorado también está relacionado con la espiral dorada
                                                                                                                                          1. Que se crea al hacer cuadrados adyacentes de dimensiones de Fibonacci.
                                                                                                                                3. IMPORTANCIA Y APLICACIÓN
                                                                                                                                  1. Cuando se trabaja con sucesiones, se reconocen patrones, por eso es tan importante hacerlo.
                                                                                                                                    1. Son funciones de gran aplicación
                                                                                                                                      1. Se utilizan abundantemente para demostrar los teoremas y las propiedades de la topología matemática
                                                                                                                                        1. En nuestro dÍa a dÍa resolvemos problemas relacionados con las sucesiones matemáticas de una manera tan sencilla que no nos percatamos de ello
                                                                                                                                          1. Cuando hacemos deportes, si estamos en una competencia, o simplemente en una charla entre compañeros de clase.
                                                                                                                                    2. Sus aplicaciones no se limitan dentro de las matemáticas mismas, si no que toman papel importante en otras áreas:
                                                                                                                                      1. Diseñar algoritmos para establecer rankings de páginas web que se usan para hacer búsquedas en Internet.
                                                                                                                                        1. Cambios que se producen en largos periodos de tiempo.
                                                                                                                                          1. Movimiento de los planetas.
                                                                                                                                            1. Evolución de un gas.
                                                                                                                                            2. Estudiar la dinámica de poblaciones.
                                                                                                                                              1. Hay modelos y ecuaciones diferenciales que explican cómo funcionan.
                                                                                                                                                1. Permite predecir cómo puede evolucionar.
                                                                                                                                                  1. Ofrece información para actuar sobre ese sistema y evitar
                                                                                                                                                    1. Que se produzca la extinción de una de ellas.
                                                                                                                                              2. Desarrollar modelos que permitan predecir cómo se desarrollan las células madre o cómo se produce un tumor.
                                                                                                                                                1. Predecir el comportamiento de un temporal o cuándo se va a producir un tornado.
                                                                                                                                              3. WEBGRAFÍAS
                                                                                                                                                1. https://www.superprof.es/apuntes/escolar/matematicas/aritmetica/sucesiones/ sucesiones.html#:~:text=Una%20sucesi%C3%B3n%20es%20un%20conjunto,con% 20el%20lugar%20que%20ocupan.&text=Los%20n%C3%BAmeros%20a1%2C% 20a,t%C3%A9rmino%20ocupa%20en%20la%20sucesi%C3%B3n
                                                                                                                                                  1. https://www.matesfacil.com/ESO/progresiones/ejercicios-resueltos- sucesiones.html#:~:text=Son%20aritm%C3%A9ticas%20 cuando%20cada%20t%C3%A9rmino,diferencia%20y%20denotamos%20por%20d.& text=Son%20geom%C3%A9tricas%20cuando%20cada%20t%C3%A9rmino,raz%C3%B3 n%20y%20denotamos%20por%20r%2
                                                                                                                                                    1. https://www.matesfacil.com/ESO/progresiones/convergente-divergente-oscilante-alternada -acotada-limite-creciente-decreciente-monotona-problemas-resueltos.html #:~:text=Tipos%20de%20sucesiones%3A%20convergente%2C%20divergente, decreciente%2C%20alternada%2C%20oscilante%20y%20acotada
                                                                                                                                                      1. https://www.eade.es/blog/186-la-sucesion-de-fibonacci-en-el-diseno#:~:text=Se% 20trata%20de%20una%20secuencia,%2C%2021%2C%2034%2C%2055%E2%80%A6
                                                                                                                                                        1. https://matematicascercanas.com/2015/04/18/sabias-que-sobre-la-sucesion-de-fibonacci/
                                                                                                                                                          1. https://www.bbc.com/mundo/noticias-46926506#:~:text=miles%20de%20a%C3%B1os.- N%C3%BAmero%20%C3%A1ureo,conoce%20como%20el%20n%C3%BAmero%20%C3%A1ureo
                                                                                                                                                            1. https://www.monografias.com/docs/Sucesiones-Matem%C3%A1ticas-FKNW7JZBZ#:~: text=Las%20sucesiones%20matem%C3%A1ticas%20son%20 funciones,destacadas%20sus%20aplicaciones%20en%20materia
                                                                                                                                                              1. https://www.elmundo.es/ciencia/2014/07/13/53c05345ca4741dc4b8b45b5.html
                                                                                                                                                              Show full summary Hide full summary

                                                                                                                                                              Similar

                                                                                                                                                              Sucesiones
                                                                                                                                                              Daniel Chavez
                                                                                                                                                              HERENCIA YACENTE
                                                                                                                                                              Marcela Castillo