position, orientation, and location of a rigid body

Description

the study of the kinematics
juan pablo gacrc
Mind Map by juan pablo gacrc, updated more than 1 year ago
juan pablo gacrc
Created by juan pablo gacrc over 10 years ago
54
0

Resource summary

position, orientation, and location of a rigid body
  1. the study of the kinematics of robot manipulators, we are constantly dealing with the location of several bodies in space, the bodies of interest include the links of a manipulator, the tools, the workpieces, and so on
    1. of a body with respect to a reference coordinate system is known if the position of the body are known. if the body of interest is rigid, six independent parameters would be sufficient to describe its location in three dimensional space
      1. as shown in
    2. descriiption of position
      1. of any point eith respect to reference frame can be described by a 3*1 position vector
      2. description of an orientation
        1. angle representations
          1. the direction cosine representation of an orientation contains nine parameters, and the screw representation requires four
            1. the rotation matrix
                1. the resulting rotation matrix is obtained by premultiplying three basic rotation matrices
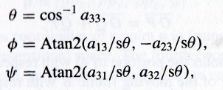
                    1. the equivalent roll-pitch-yaw angeles as follows
                        1. successive rotations about the moving coordinate axes
                            1. hence the overall rotation matrix
                                1. we can expand
                                    1. euler angles as follows
                                        1. the resulting rotation matrix is obtained by a postmultiplication of three basic rotation matrices as follows
          2. axis representation
            1. we seek a description of de orientation of a rigid body in terms of a rotation about a sceww axis
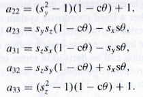
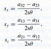
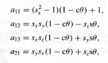
                1. were the elements of the ratation matrix are given by
                    1. it appears that there are two solutions of the serew axis
            2. direction cosine representation
              1. one convenient way of describing the orientation of a rigid body is by means of the direction cosines of the coordinate axes of the moving frame with respect to the fixed frame, three unit vectors pointing along the coordinate axes of the moving frame B, respectively, as shown in fig.
                  1. the position vector os a point P, and the rotated frame B
                      1. equating x,y,z componets of aP, to the coresponding componets
                          1. matrix from we obtain
                              1. the determinant of the coefficients must vanish
                1. description of a location
                  1. as a pointed out earlier, the location of the rigid body can be described by the position of the origin Q and the orientation of the moving frame with respect in the dixed frame
                  Show full summary Hide full summary

                  Similar

                  Diapositivas Robótica.
                  alvaro_cf2
                  Fichas Robótica
                  alvaro_cf2
                  Robótica
                  alvaro_cf2
                  Conceptos Generales De Robótica
                  Diego Santos
                  LINEA DEL TIEMPO DE LA EVOLUCION DEL MICROSCOPIO
                  jesusceusodontol
                  Bioelementos Mapa Mental
                  Joseline Loza Gil
                  Sistema Óseo
                  Valerie Argueta
                  CONCEPTOS BÁSICOS DE LA METODOLOGÍA DE LA INVESTIGACIÓN
                  Arlen Castillo
                  Línea del Tiempo: La Creación de la Tierra
                  Valdeavellano
                  Tipos de Mercado
                  hersheys_yumy
                  CEREBELO
                  Montserrat Alva