LOS FLUIDOS

Description

Mapa Mental acerca de fluidos y sus propiedades
Alejandro Gonzales
Mind Map by Alejandro Gonzales, updated more than 1 year ago More Less
Diana Alexandra Arias Cárdenas
Created by Diana Alexandra Arias Cárdenas almost 10 years ago
Frasella de martino
Copied by Frasella de martino almost 10 years ago
Diana Alexandra Arias Cárdenas
Copied by Diana Alexandra Arias Cárdenas almost 10 years ago
Frasella de martino
Copied by Frasella de martino almost 10 years ago
Diana Alexandra Arias Cárdenas
Copied by Diana Alexandra Arias Cárdenas almost 10 years ago
Frasella de martino
Copied by Frasella de martino almost 10 years ago
Diana Alexandra Arias Cárdenas
Copied by Diana Alexandra Arias Cárdenas almost 10 years ago
Alejandro Gonzales
Copied by Alejandro Gonzales almost 4 years ago
3
0

Resource summary

LOS FLUIDOS
  1. Pueden ser
    1. Liquidos
      1. Gases
        1. Masa/Volumen
          1. Densidad
              1. Donde: p=densidad m=masa v=volumen
                1. Factores de conversión
                  1. Masa
                    1. Volumen
            1. Principales Caracteristícas
              1. No tienen forma definida
                1. Adquieren la forma del recipiente que los contiene
                  1. Al aplicar fuerzas externas sobre éstos se deforman
                    1. No poseen coeficientes de fricción cinética; solo de fricción estática
                    2. Magnitud que caracteriza las fuerzas que ejerce un fluido sobre el medio
                      1. Presión (N/m2)
                          1. Factores de conversión
                            1. Donde: P=Presión F=fuerza A=Area
                            2. Puede ser:
                              1. Atmosférica
                                1. Presión media de la atmósfera a nivel del mar
                                2. Absoluta
                                  1. Presión real que se ejerce sobre un fluido
                                  2. Manométrica
                                    1. Diferencia entre la presión absoluta de un fluido y la presión atmosférica
                                      1. Se mide mediante un Manómetro
                                  3. Se ve afectada por la profundidad
                                    1. Una fuerza F que actúe sobre una superficie de área A
                                        1. Corresponde alas componentes paralela y perpendicular de F a la superficie
                                  4. Propiedades
                                    1. 1. Un fluido en reposo no puede ejercer una fuerza paralela a una superficie.
                                      1. Se debe a la falta de rigidez del fluido
                                        1. Un fluido no puede permanecer en reposo si se aplican fuerzas paralelas sobre él
                                        2. 2. Ley de Pascal: La presión de un fluido en reposo es la misma en todas partes
                                          1. Se desprecia la gravedad, es decir el peso del propio fluido
                                            1. Regida por la ecuación
                                                1. Donde: F=fuerza A=Area
                                                2. En dos puntos P y Q cualesquiera del fluido, la presión es la misma
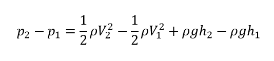
                                              1. 3. La presión de un fluido es la misma para todos los puntos de igual profundidad
                                                1. La diferencia de presión entre dos puntos A y B, de profundidades respectivas h1 y h2
                                                    1. Donde: P=presión g=gravedad h=altura p=densidad
                                              2. Dinámica de fluidos
                                                1. Estudia el movimiento de los fluidos
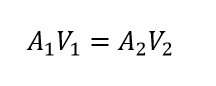
                                                  1. Ecuación de continuidad
                                                      1. Donde: V=velocidad A=Area
                                                      2. Ley de Conservación de masa
                                                      3. Ecuación de Bernoulli
                                                          1. Donde: P=presión V=velocidad p=densidad g=gravedad h=altura
                                                          2. La energía de un fluido permanece constante al durante su recorrido
                                                          3. Flujo
                                                            1. Viscocidad
                                                              1. Grado de fricción interna en el fluido
                                                              2. Fluido ideal
                                                                1. 1:Fluido no es viscoso
                                                                  1. No se toma en cuenta la fricción interna
                                                                  2. 2.Fluido estable
                                                                    1. La velocidad del flujo permanece constante en todos sus puntos
                                                                    2. 3. fluidos es incompresible
                                                                      1. Su densidad es constante
                                                                      2. 4: fluido irrotacional
                                                                        1. Esto sucede cuando por ejemplo al colocar un moneda en un fluido esta no gira alrededor de su centro de masa
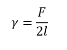
                                                                2. Tensión capilar
                                                                  1. Solo aplica a los liquidos
                                                                    1. Se genera una resistencia para aumentar su superficie
                                                                        1. F=fuerza y=gama l=distancia n= número de caras(2)
                                                                      1. Principio de Arquimides
                                                                        1. La fuerza de empuje ejercida por un fluido sobre un objeto es igual al peso del fluido desplazado por el objeto
                                                                          1. Cuando el objeto flota
                                                                            1. El volumen del fluido desplazado es el volumen del objeto por debajo de la superficie del fluido
                                                                            2. Cuando no flota
                                                                              1. El volumen desplazado es igual al volumen del propio objeto
                                                                              2. Regido por las ecuaciones
                                                                                  1. Donde: P=presión p=densidad g=gravedad h=altura
                                                                                    1. Donde: Vdes=Volumen desplazado, Vobj=Volumen del objeto, pl=desidad liquido, pdes= densidad liquido desplazado
                                                                                1. Comprobaciones experimentales de propiedades (presión)
                                                                                  1. Presiones
                                                                                    1. Determinación de presión absoluta promedio de soplido y succión
                                                                                      1. Datos obtenidos experimentalmente de estudiantes de la carrera de biología
                                                                                      2. Comprobaciones experimentales de propiedades (Tubo en U)
                                                                                        1. Cálculo de la densidad del Aceite de Almendras
                                                                                          1. Datos Obtenidos
                                                                                            1. Hagua= 2,4cm Haceite=2,9cm Pagua=1000kg/m3
                                                                                            2. Se emplean las ecuaciones
                                                                                              1. Resultados:
                                                                                              2. Comprobaciones experimentales de propiedades (Principio de Arquímides)
                                                                                                1. Calculo de la densidad de un anillo de tagua
                                                                                                  1. Datos obtenidos: Fp=0,062N Ft=0,017N g=9,8m/s2 Pagua=1000kg/m3
                                                                                                    1. Se aplican las ecuaciones
                                                                                                      1. Resultados
                                                                                                          1. Montaje

                                                                                                        Media attachments

                                                                                                        Show full summary Hide full summary

                                                                                                        Similar

                                                                                                        Tarea 1 - La Naturaleza de la Electricidad
                                                                                                        Paula Andrea
                                                                                                        Penisola balcanica: fisica
                                                                                                        Siria Giacomelli
                                                                                                        ECONOMÍA Y SU RELACION CON OTRAS CIENCIAS
                                                                                                        David Zepeda
                                                                                                        OSCILACIÓN
                                                                                                        yoiner idrobo
                                                                                                        Temperatura
                                                                                                        yoiner idrobo
                                                                                                        El calor y la temperatura
                                                                                                        Carlos Salas
                                                                                                        Francia: fisica
                                                                                                        Mattia Depaul
                                                                                                        quiz geografia
                                                                                                        Thomas Dantone
                                                                                                        Memorama "Cinemática"
                                                                                                        Cordero Espina Fernando Sebastian
                                                                                                        Movimiento de los objetos
                                                                                                        Yamila Amasiel Salas Rivera