Fracture Mechanics

Description

Masters AE3-409 Materials Modelling Mind Map on Fracture Mechanics, created by Tris Stindt on 27/10/2015.
Tris Stindt
Mind Map by Tris Stindt, updated more than 1 year ago
Tris Stindt
Created by Tris Stindt about 10 years ago
5
0

Resource summary

Fracture Mechanics
  1. Stress Concentration
    1. Griffith Energy Balance
      1. Rate of strain energy release with crack extension must be equal to (or greater than) the rate of energy absorption needed to overcome the resistance to crack growth.
      2. Linear Elastic Fracture Mechanics
        1. Deformation Modes:

          Annotations:

          • Any crack deformation can be presented by an appropriate superposition.
          1. Mode 1 - Opening
            1. Mode 2 - Sliding/Shearing
              1. Mode 3 - Tearing
              2. Stress Intensity Factor, K:
                1. Applications:
                  1. Static/Residual strength of a cracked structure.
                    1. Rate of crack growth under fatigue loading.
                      1. Rate of crack growth in a loaded structure in a corrosive environment.
                      2. Crack Tip Displacement & Stress Fields
                        1. Westergaard's Stress Function:
                        2. Non-dimensional Function of Geometry, Y:
                          1. Crack size and shape
                            1. Loading type
                              1. Geometrical configuration of the structure
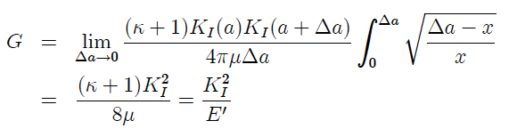
                            2. Relationship between G & K
                              1. Residual Strength
                                1. Failure Criterion - Fracture Toughness:
                                  1. Plane Strain
                                    1. Plane Stress
                                Show full summary Hide full summary

                                Similar