Integration Strategy

Description

Chapter 1 (d)
Amalia Azlizuddi
Mind Map by Amalia Azlizuddi, updated more than 1 year ago
Amalia Azlizuddi
Created by Amalia Azlizuddi almost 10 years ago
16
0

Resource summary

Integration Strategy
  1. Basic Substitution Method
    1. Trigonometric Functions
      1. ᶴ sin x dx = - cos x + C

        Annotations:

        •    ᶴ sin x dx= - cos x + C ᶴ cos x dx = sin x + C ᶴ sec2 x dx = tan x + C ᶴ sec x tan x = sec x + C ᶴ csc2 x dx = - cot x + C ᶴ csc x cot x dx = - csc x + C   
        1. ᶴ cos x dx = sin x + C
          1. ᶴ sec^2 x dx = tan x + C
            1. ᶴ sec x tan x = sec x + C
              1. ᶴ csc^2 x dx = - cot x + C
                1. ᶴ csc x cot x dx = - csc x + C
        2. Trigonometric Identities
          1. cos^2 Ө + sin^2 Ө = 1
            1. 1 + tan^2 Ө = sec^2 Ө
              1. 1 + cot^2 Ө = csc^2 Ө
          2. Addition Formula
            1. cos (A + B) = cos A cos B – sin A cos B
              1. sin (A + B) = sin A cos B + cos A sin B
              2. Double Angle Formula
                1. cos 2Ө = cos^2 Ө - sin^2 Ө
                  1. sin 2Ө = 2 sin Ө cos Ө
                2. Half-Angle Formula
                3. Natural Logarithm
                  1. ∫ 1/u du = ln |u| + C
                  2. Exponential Functions
                    1. ∫ e^u du = e^u + C
                    2. General Exponential Functions
                      1. ∫ a^u du = a^u/ln a + C
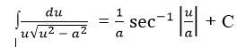
                      2. Inverse Trigonometric Functions
                            1. Hyperbolic Functions
                              1. ∫ sinh u du = cosh u + C
                                1. ∫ cosh u du = sinh u + C
                                  1. ∫ sech^2 u du = tanh u + C
                                    1. ∫ csch^2 u du = - coth u + C
                                      1. ∫ sech u tanh u du = - sech u + C
                                        1. ∫ csch u coth u du = - csch u + C
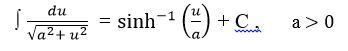
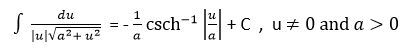
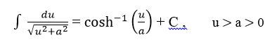
                              2. Inverse Hyperbolic Functions
                              3. Completing the Square
                                1. ax^2 + bx + c = 0
                                  1. x^2 + b/a x + c/a = 0
                                2. Trigonometric Identities
                                  1. - summation of two terms power two
                                    1. - Different angle
                                      1. ᶴ csc x dx = -ln l csc x + cot x l + C
                                        1. ᶴ sec x dx = ln l sec x + tan x l + C
                                          1. ᶴ tan x dx = -ln l cos x l + C
                                            1. ᶴ cot x dx = ln l sin x l + C
                                  2. Improper Fraction
                                    1. ᶴ polynomial/polynomial
                                      1. (Degree of numerator ≥ Degree of denominator)
                                        1. Long Division Method
                                    2. Separating Functions
                                      1. (a + b)/c = a/c + b/c
                                      2. Multiplying by a Form of 1
                                        1. Eliminating Square Roots
                                          1. Trigonometric Functions win the Square Root
                                            1. the Trigonometric Functions can be Simplified to Eliminate the Square Roots
                                            2. Integration by Parts
                                              1. Either function is not the differential coefficient of the other
                                                1. eg:: ᶴ x^2 ln x dx
                                                  1. ᶴ u dv = uv – ᶴ v du
                                                2. Trigonometric Integrals
                                                  1. ᶴ sin2 x dx = ½ ᶴ ( 1 – cos 2x) = x/2 – sin2x/4 + C
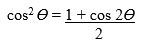
                                                    1. ᶴ cos2 x dx = ½ ᶴ ( 1 + cos 2x) = x/2 + sin2x/4 + C
                                                  2. Trigonometric Substitutions
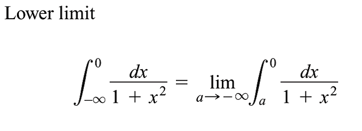
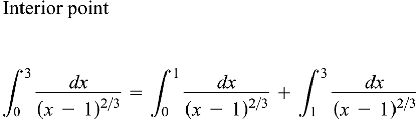
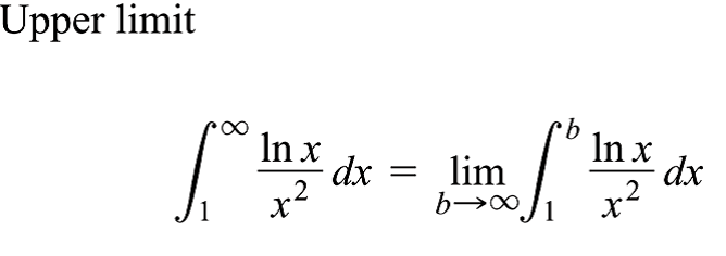
                                                    1. Improper Intergral
                                                      1. Type 1
                                                        1. Type 2
                                                        Show full summary Hide full summary

                                                        Similar

                                                        Limits AP Calculus
                                                        lakelife62
                                                        Basic Derivative Rules
                                                        Bill Andersen
                                                        Calculus
                                                        natz994
                                                        Integration Techniques
                                                        Rob Grondahl
                                                        Calculus II Improper Integrals
                                                        Anthony Campos
                                                        Techniques of Integration
                                                        hamidymuhammad
                                                        STRATEGY OF INTEGRATION
                                                        intan_syahirah97
                                                        Series Strategy
                                                        Rob Grondahl
                                                        Derivadas
                                                        Roxy Hughes
                                                        Mathematicalproving
                                                        Sharifah Huda
                                                        wodb #2 Calculus
                                                        Susan Robinson