Integration

Description

Mind Map on Integration, created by izahaziz09 on 29/01/2016.
izahaziz09
Mind Map by izahaziz09, updated more than 1 year ago
izahaziz09
Created by izahaziz09 almost 10 years ago
13
0

Resource summary

Integration
  1. Simplify
    1. Pythagoras formula
      1. Addition formula
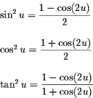
        1. Half Angle formula
          1. Double Angle formula
          2. Simple Substitution
            1. If not applicable
              1. use completing the square
              2. Classify Integrands
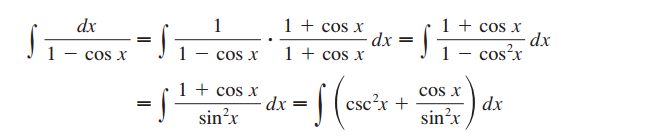
                1. Trigo function
                  1. use indefinite integral
                  2. Rational function
                    1. use partial fraction
                    2. Radical
                      1. U-substitution
                      2. Roots function
                        1. use trigonometric substitution
                        2. polynomial
                          1. X
                            1. trigo
                              1. use integration by parts
                              2. logarithm
                                1. exponential
                              3. Qudratic
                                1. Factorize
                                  1. completing the square
                              4. Manipulate the integrands
                                1. Rationalizing the denominator
                                  1. use trigonometric identities
                                  Show full summary Hide full summary

                                  Similar

                                  Integration and differentiation BASICS ONLY
                                  Thomas Marshall
                                  Integration Techniques
                                  Rob Grondahl
                                  Techniques of Integration
                                  hamidymuhammad
                                  STRATEGY OF INTEGRATION
                                  intan_syahirah97
                                  Functions and Divisions of Nervous System
                                  Sabith Iqbal
                                  Maclaurin Series and Limits
                                  nick.mason1998
                                  Functionalism.
                                  Mia Rose
                                  C3 and C4 Identities
                                  Alex Brownlie
                                  AQA German - Integration Mindmap
                                  Matthew Hibbert
                                  HPV Natural history
                                  Nicole Neumann
                                  Les Intégrales (procédure)
                                  bonsavoir.be