3.) Pharmaceutical Formulations 2

Description

Mind Map on 3.) Pharmaceutical Formulations 2, created by Has Maj on 28/03/2016.
Has Maj
Mind Map by Has Maj, updated more than 1 year ago
Has Maj
Created by Has Maj over 9 years ago
53
0

Resource summary

3.) Pharmaceutical Formulations 2
  1. INTRINSIC DISSOLUTION RATE (IDR)
    1. What is Intrinsic Dissolution Rate?
      1. The rate of dissolution is dependant on many variables such as pH, viscosity, temperature etc. Intrinsic dissolution rate is independant of these variables
      2. How is it calculated?
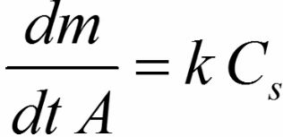
        1. The Noyes Whitney equation is rearranged so that area variable is kept constant within the equation
          1. The equation can then be further simplified by introducing the intrinsic dissolution rate constant (K)
            1. K takes care of D/h, Units = cm/s
            2. Simplied equation therefore:
            3. Example Questions
              1. 1.) When calculating anything using the IDR equation, you have to first decide whether or not sink conditions apply. This is done by working out 10% of Cs and then seeing how it compares with C. If C less than 10% then sink applies
                1. 2.) If sink conditions apply then Cs-C becomes simply Cs
                  1. 3.) Then convert all of the units so that they are the same or similar
                    1. 4.) Plug the values into the equation. The equation may need to be rearranged
                    2. Why do you measure IDR?
                      1. This is measured to know what the rate of dissolution would be if all variables were kept at a certain constant. So that if the rate of dissolution does change we know that at least one of the variables has changed
                        1. This allows you to know how new drugs will act when all variables are kept constant
                      2. Dissolution Apparatus
                        1. What does it do?
                          1. This allows you to see how drugs will act when in conditions similar to the human body more specifically the small intestines
                          2. Methods
                            1. Static Disc Method
                              1. Can also be rotating disc method
                                1. Apparatus
                                  1. Temperature is 37 degree as this is human body temperature
                                    1. Rotating paddle is used to make the fluidity similar to that of the intestines
                                      1. Drug is compressed to ensure there are no pores in the drug so solution cannot affect dissolution
                              2. Hixson-Cromwell Cube Root Law
                                1. Why is this used to the Noyes Whitney Equation?
                                  1. The Noyes Whitney equation assumes that the surface area of the particles remain constant but in practice they dont. This equation takes into account the changing surface area
                                  2. What is the equation?
                                    1. It can be arranged in such an equation for a straight line graph
                                        1. The equation says that the cube root of the undissolved mass at time, t is the same as the cube root of mass at the start minus cube root dissolution constant
                                        2. Example Question
                                            1. For this question you fill out a table like so. first you work out the undissolved using the concentration. Then find the dissolved. Finally cube root the dissolved to to get the final answer
                                          Show full summary Hide full summary

                                          Similar