تفاعلات المركبات العضويه

Description

نت
Sarah Juhani
Mind Map by Sarah Juhani, updated more than 1 year ago
Sarah Juhani
Created by Sarah Juhani almost 10 years ago
206
0

Resource summary

تفاعلات المركبات العضويه
  1. تفاعل الإستبدال
    1. تفاعل الاستبدال : تفاعل يتم فيه استبدال ذرة أو مجموعة من الذرات بذرة أو مجموعة ذرات في مركب ما. مثال :
    2. تفاعل الاضافه
      1. تفاعل الإضافة : تفاعل يتم بين مادتين لإعطاء مادة واحدة باستخدام جميع الذرات من المادتين . وتمتاز الألكينات والألكاينات بهذا النوع من التفاعلات وذلك لوجود الرابطة باي π الأضعف من الرابطة سيغما σ ، وهذا يشجع احتمال كسرها مقابل تكون الرابطة σ الأقوى والأكثر ثباتاً .
        1. تفاعل الهدرجه
          1. الهدرجة في الكيمياء هي إضافة الهيدروجين إلى عنصر كيميائي آخر أو إلى رابطة كيميائية. يستخدم تفاعل الهدرجة بشكل واسع في الكيمياء العضوية من أجل اختزال (إرجاع) أو إشباع المركبات العضوية.
          2. إضافة الماء
            1. يتم إضافة ذرة الهيدروجين ومجموعة الهيدروكسيل من جزيء الماء الى الرابطه
        2. تفاعلات الحذف
          1. تفاعلات الحذف هي نوع من التفاعلات العضوية يحدث فيها إزالة لجزيئتين من الجزيء الأصلي في خطوة أو خطوتين.
            1. تفاعل حذف الهيدروجين
              1. تفاعلات يصاحبها حذف ذرتي هيدروجين من الليثين
              2. تفاعل حذف الماء
                1. تحويل الكحول إلى إيثر 2 R-OH → R-O-R + H2O
            2. تفاعل الأكسده والاختزال
              1. هي جميع التفاعلات الكيميائية التي يحدث فيها تغير في عدد أكسدة ذرات المواد المتفاعلة بسبب انتقال الإلكترونات فيما بينها.
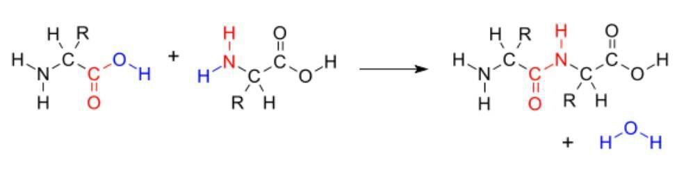
              2. تفاعل التكثف
                1. تفاعل التكاثف في الكيمياء هو تفاعل كيميائي يحدث فيه اتحاد بين جزيئتين (أو وحدتين من مجموعات وظيفية داخل الجزيء) بحيث يُحصل فيه بالنهاية على جزيء أكبر، وذلك بشكل مترافق مع فقدان جزيء أصغر
                Show full summary Hide full summary

                Similar

                Tyrannosaure Rex
                Guerrriers Sam