Análisis dimensional

Description

ALEJANDRO TOAPANTA, PAOLA POZO, BRYAN PEÑAFIEL, JEAN ZAMBRANO, NICOLAS PINO, FRANCISCO LINCANGO, ABEL ALVARADO, DAVID ANDRADE, RENE BENAVIDES
Francisco Lincan
Mind Map by Francisco Lincan, updated more than 1 year ago
Francisco Lincan
Created by Francisco Lincan over 9 years ago
163
0

Resource summary

Análisis dimensional
  1. Método que permite reducir el número y complejidad de las variables dimensionales.
    1. Se trabaja con
      1. Variables básicas: Masa M, Longitud L, Tiempo T, Temperatura
      2. Proporciona
        1. Ahorro de tiempo y dinero
          1. Proporciona leyes de escala
          2. Aplicación
            1. Aspecto que permite deducir el conjunto de parámetros y propiedades físicas relevantes así como sus ecuaciones dimensionales.
              1. Encuadrar en una teoría física y adoptar una base dimensional deducida de sus leyes fundamentales.
                1. Seleccionar la lista de variables relevantes incluidos las geometrías a partir de las leyes físicas (fundamentales y constructivas).
                  1. Discriminar las variables y deducir las formulas dimensionales de estas en la base elegida.
                    1. Aplicar el teorema de
                      1. Expresar la solución del problema en función de los monomios
                  2. Principio de homogeneidad
                    1. Todas las ecuaciones físicas deben tener las mismas dimensiones.
                      1. Longitud (L)
                        1. Área=L^2
                        2. Masa (M)
                          1. Velocidad= LT^-2
                          2. Tiempo (T)
                            1. Fuerza=MLT^2
                        3. Adimensionalización
                          1. Teorema de pi
                            1. Parámetros adimensionales con el fin de adimensionar una ecuación
                              1. Parámetros adimensionales y de compensibilidad
                              2. Definir
                                1. Magnitudes físicas (n)
                                  1. Densidad, viscosidad, velocidad, etc
                                  2. Magnitudes fundamentales (m)
                                    1. tipo de problema
                                      1. Mecánico m=3
                                        1. Térmico m=4
                                      2. Número de monomios
                                        1. n-p
                                  3. Otros parámetros adimensionales
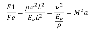
                                    1. Numero de Cauchy
                                      1. Número adimensional se lo obtiene relacionando las fuerzas de inercia y elásticas
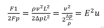
                                      2. Número de Euler
                                        1. Número adimensional que expresa la relación entre la energía asociada a una pérdida de presión por unidad de volumen
                                      Show full summary Hide full summary

                                      Similar