Strategy for Mathematical Proof

Description

foundation calculus Mind Map on Strategy for Mathematical Proof, created by Jia Wen Sew on 07/14/2016.
Jia Wen Sew
Mind Map by Jia Wen Sew, updated more than 1 year ago
Jia Wen Sew
Created by Jia Wen Sew over 9 years ago
0
1

Resource summary

Strategy for Mathematical Proof
  1. CONTRAPOSITIVE
        1. Used when: contraposotive proof is easier, simple direct proof would be problematic.
          1. To prove proposition "If p, then q."
            1. contrapositive form ∼ Q ⇒∼ P
              1. assume ∼ Q is true use this to deduce that ∼ P is true
            2. DIRECT
              1. Proposition : True statement but not as significant Lemma :prove other theorem Collary:immediateconsequence of a theorem or proposition
                1. If p, then q
                  1. 1. Assume that P is true. 2. Use P to show that Q must be true.
                      1. Accept these facts without justification or proof.
                        1. Using Cases
                          1. Definition : Odd number : 2a + 1, a E
                          2. INDUCTION
                            1. use recursion to demonstrate an infinite number of facts in a finite amount of space.
                              1. condition : when a set of statements is given ex. Fibonacci numbers
                                  1. Step 1: Proof S1 is true
                                    1. Step 2 : Proof Sk →Sk+1 is true
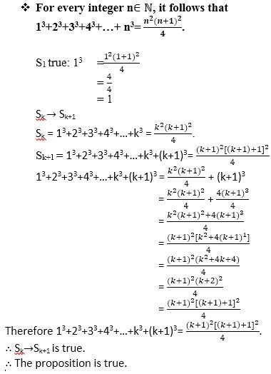
                                    2. examples
                                      1. CONTRADICTION
                                        1. used when direct and contrapositive methods do not seem to work.
                                          1. assume that the statement we want to prove is false, and then show that this assumption leads to nonsense.
                                            1. 1. Assume that P is true.
                                              1. 2. Assume that ~Q is true.
                                                1. 3. Use P and ~Q to demonstrate a contradiction.
                                              Show full summary Hide full summary

                                              Similar

                                              Limits AP Calculus
                                              lakelife62
                                              Basic Derivative Rules
                                              Bill Andersen
                                              Calculus
                                              natz994
                                              Integration Techniques
                                              Rob Grondahl
                                              Calculus II Improper Integrals
                                              Anthony Campos
                                              Techniques of Integration
                                              hamidymuhammad
                                              STRATEGY OF INTEGRATION
                                              intan_syahirah97
                                              Series Strategy
                                              Rob Grondahl
                                              Derivadas
                                              Roxy Hughes
                                              Mathematicalproving
                                              Sharifah Huda
                                              wodb #2 Calculus
                                              Susan Robinson