null
US
Sign In
Sign Up for Free
Sign Up
We have detected that Javascript is not enabled in your browser. The dynamic nature of our site means that Javascript must be enabled to function properly. Please read our
terms and conditions
for more information.
Next up
Copy and Edit
You need to log in to complete this action!
Register for Free
6890519
Prozentrechnung
Description
5. Klasse Mathematik Mind Map on Prozentrechnung, created by Michael Gatt on 04/11/2016.
No tags specified
prozentrechnung
mathematik
mathe
mathematik
5. klasse
Mind Map by
Michael Gatt
, updated more than 1 year ago
More
Less
Created by
Michael Gatt
about 9 years ago
834
0
0
Resource summary
Prozentrechnung
Begriffe
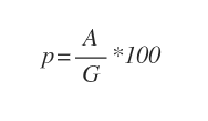
Prozentanteil (A)
Grundwert (G)
Prozentsatz (p)
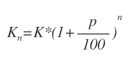
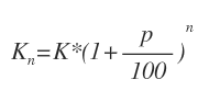
Zins und Zinseszins
Zinsrechnung
Zinseszins
p*0,75 (für Österreich)
Vorgehensweise
Media attachments
542ec7f0-eb05-4958-85b8-4f5e44807a07 (image/png)
318f1645-add6-4398-af2f-9b17650f2600 (image/png)
cfc5a0d9-4d76-4d5c-a399-14f67ec544c4 (image/png)
d93ffa08-bc4a-4a90-bd69-cf0287a4f665 (image/png)
a3362f1d-deab-4a93-b8a5-554d4265994f (image/png)
Show full summary
Hide full summary
Want to create your own
Mind Maps
for
free
with GoConqr?
Learn more
.
Similar
Mathe Quiz
JohannesK
Statistik Theorie
Clara Vanessa
Mathe Themen
barbara91
Stochastik
barbara91
Mathe Themen Abitur 2016
henrythegeek
Vektorendefinition
Sinan 2000
Themen der Vektorrechnung II
Paula Raithel
Grundlagen der Stochastik - Zusammenfassung
Flo Rian
Prozentrechnung
Michael Gatt
Exponentielle Wachstums- und Abnahmevorgänge
Sinan 2000
[Mathematik] Grundlagen für BOS T12 (Bayern)
Marcel Pabst
Browse Library