Thermodynamics

Description

A level Physics Mind Map on Thermodynamics, created by Husein Adamjee on 26/05/2017.
Husein Adamjee
Mind Map by Husein Adamjee, updated more than 1 year ago
Husein Adamjee
Created by Husein Adamjee over 8 years ago
61
0

Resource summary

Thermodynamics

Attachments:

  1. Heat and Temperature
    1. When energy is supplied to a material, its molecules start to move faster, increasing their kinetic energy.
      1. The average kinetic energy of the molecules inside a material will determine its temperature. Greater average Ek, the greater the temperature.
        1. It is only the internal kinetic energy that determines this.
        2. Heat is the total internal kinetic energy of the molecules inside a substance.
          1. Take an example of a bath tub at room temperature and a cup of hot tea
            1. The bath will have a higher heat, be hotter, due to there being more molecules, making the total amount of internal energy greater
              1. The mug will have a higher temperature, due to the molecules having a greater average energy.
            2. Temperature Scales
              1. To convert temperature scales from degrees celcius to absolute temperatures (kelvin) we add 273.5
              2. The Maxwell- Boltzman distribution
                1. As well as kinetic energy, molecules will have potential energy from where they are located in a substance
                  1. The sum of the kinetic energies and the potential energies gives us a molecules internal energy.
                  2. The Maxwell- Boltzman distribution is a graph of the number of molecules against the kinetic energy. From it we can conclude
                    1. There are 0 molecules with 0 energy
                      1. Only a few molecules have a high energy
                        1. There is no maximum value for energy a molecule can have
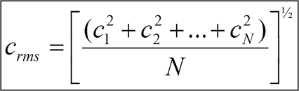
                      2. Root- Mean Square Values
                        1. We use RMS values to determine the average speed of molecules inside of a substance.

                          Annotations:

                          • C in this equation is the speed of the molecules
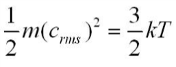
                          1. Molecular Kinetic Energies
                            1. We can find the kinetic energy of any molecule in a gaseous sample as it is proportional to its temperature, in kelvin (T).
                              1. The equation shows us that at absolute 0, molecules will have 0 kinetic energy, meaning they will have 0 rms speed.
                            2. Heat Transfer
                              1. Specific Heat Capacity
                                1. The specific heat capacity is the amount of energy required to heat an object
                                  1. If we know the specific heat capacity (c), the mass of the substance (m) and the change in temperature we can calculate the amount of energy needed to make this hapoen
                                2. Specific Latent Heat
                                  1. The specific latent heat is the amount of energy required to make a material undergo a phase change
                                    1. If we know the specific latent heat (L), the mass of the substance (m) w can calculate the amount of energy needed to make the phase change happen
                                3. Ideal Gasses
                                  1. Ideal Gas Laws
                                    1. Boyle's Law: For a constant mass of gas at a constant temperature, the pressure exerted by the gas is inversely proportional to the volume that it occupies
                                      1. Charles's law: For a constant mass of a gas at a constant pressure, the volume occupied by the gas is proportional to its absolute temperature
                                        1. These laws only work perfectly if there are ideal gasses involved
                                        2. The pressure law: For a constant mass of gas at a constant volume, the pressure exerted on the gas is proportional to its absolute temperature
                                        3. Properties of ideal gasses
                                          1. The molecules have a neglegable size
                                            1. The molecules are all identical
                                              1. All collisions are perfectly elastic, and their time is very low
                                                1. Except from in collisions, the molecules exert no forces on each other
                                                  1. The motion of the molecules is completely random
                                                  2. The Ideal gas equation
                                                    1. We can combine the gas laws to create an equation relating pressure (p), volume (v), the number of molecules (N) and the absolute temperature (T)
                                                      1. K is the Boltzman constant and R is a gas constant
                                                  Show full summary Hide full summary

                                                  Similar

                                                  MCAT Physics: Thermodynamics
                                                  Mike Nervo
                                                  AQA Physics P1 Quiz
                                                  Bella Statham
                                                  GCSE AQA Physics - Unit 3
                                                  James Jolliffe
                                                  Using GoConqr to study science
                                                  Sarah Egan
                                                  GCSE AQA Physics 1 Energy & Efficiency
                                                  Lilac Potato
                                                  Waves
                                                  kate.siena
                                                  Forces and their effects
                                                  kate.siena
                                                  Junior Cert Physics formulas
                                                  Sarah Egan
                                                  Forces and motion
                                                  Catarina Borges
                                                  OCR Physics P4 Revision
                                                  Dan Allibone
                                                  P2 Radioactivity and Stars
                                                  dfreeman