Materials

Description

A level Physics Mind Map on Materials, created by Husein Adamjee on 27/05/2017.
Husein Adamjee
Mind Map by Husein Adamjee, updated more than 1 year ago
Husein Adamjee
Created by Husein Adamjee over 8 years ago
152
0

Resource summary

Materials

Attachments:

  1. Fluid Properties
    1. Fluids Basics
      1. A fluid is a substance that can 'flow'. This primarily refers to liquids or gasses. Some solids, such as sand in an hourglass show liquid qualities
        1. Density
          1. Density tells us how much 'stuff' there is inside a liquid (or solid) It is a measure of the mass per unit volume
            1. We can calculate the density of an object (p) using its mass (m) and its volume (v)
          2. Upthrust
            1. When an object is submerged in a fluid, it feels an upwards force called upthrust. Upthrust is the 'weight of fluid displaced'.
              1. If we calculate weight and upthrust, then take one from the other, we can find a resultant force
              2. If an object is completely submerged, we can find upthrust by multiplying the volume of the object (V) by the density of the fluid (p) and g (9.81 on earth)
              3. If a point is reached where upthrust and weight are equal, we can say that the object is floating
                1. We use the idea of floating at different depths in a instrument called the hydrometer. We use this to calculate the densities of different liquids by allowing a object of constant weight to sink, until it floats. Where the object floats, we read off the scale to get the density of the liquid
                2. Fluid Movement
                  1. Fluids can flow in 2 ways: Laminar flow or Turbulent flow
                    1. Turbulent Flow
                      1. Turbulent flow is alot more chaotic than laminar flow. It happens at faster rates of flow, or after the fluid passes an obstacle. It can unpredictable velocities, that are always changing, as well as eddies and whirlpools
                      2. Laminar Flow
                        1. Laminar flow (streamlined flow) happens when a fluid is flowing at a constant velocity at any given point. It usually occurs in slow moving fluids
                      3. It is important to streamline things like cars and aeroplanes to minimise the amount of turnbulent flow. This is because turbulent flow will increase resistive forces, increasing fuel consumption, increasing costs, which is bad.
                      4. Stoke's Law
                        1. The viscosity of a fluid is a measure of how runny it is. A greater viscosity means its less runny, which means there will be a greater force of viscous drag.
                          1. Viscosity is inversely proportional to temperature. This means that as temperature increases, a fluid will get less viscous
                            1. Newton devised an equation to find the coefficient of viscosity of a fluid. This value is a numerical value that will indicate how resistant to flow a fluid is
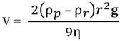
                            2. Stoke then came up with a formula to find how much viscous drag (f) a flowing object will experience, given its radius (r), terminal velocity (v) and coefficient of viscosity.
                              1. It is important to know that this equation only works for small, slow moving spherical objects falling in laminar flow
                              2. Terminal Velocity
                                1. From stokes law, we can derive an equation to find the terminal velocity of a falling object.
                                  1. When an object is freely falling, we can describe a few force changes that act on it.
                                    1. Initially, weight > upthrust + viscous drag
                                      1. As theres a resultant force, the object will accelerate downwards. As velocity increases viscous drag increases (from stokes law)
                                        1. Eventually weight = upthrust + viscous drag
                                          1. This means no more acceleration, due to a 0 resultant force, meaning terminal velocity has been reached
                                2. Solid Material Properties
                                  1. Hookes Law
                                    1. When a force acts on a material, itll be deformed in some way. If its stretched, the force is a tensile force, and if the sample is compressed the force is a compressive force
                                      1. Hooke's Law states that the force needed to extend a spring is proportional to the extension, uptil a certain point called the limit of proportionality.
                                        1. Hookes law can be described mathematically as the force needed to extend a spring (f) is proportional to its extension (x) and its spring constant (k)
                                          1. We can find the spring constant of a spring from the gradient of a force extension graph
                                    2. Stress, Strain and the young Modulus
                                      1. Sress
                                        1. The stress in a material is a measure of the force within a material sample taking into account the cross sectional area.
                                          1. It allows comparisons to be made between materials of different sizes
                                            1. We use the force exerted on the sample (F) and the cross sectional area (A) to calculate the stress
                                        2. Srain
                                          1. The strain is a measure of the extension of a material, taking into account its original length.
                                            1. This, again, allows comparisons to be made between materials of different sizes
                                              1. We can calculate the strain using the extension and the original length
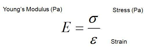
                                          2. The young Modulus
                                            1. The young modulus is a stiffness constant of a material, taking into account the stress and strain in a material
                                              1. This means that different samples of the same material will have the same young modulus making it a property of a material
                                                1. This idea gives us a measure of how much a material deforms when forces are applied to it
                                                  1. We can only find the young modulus in the straight part of a stress strain graph, where the material is still obeying hooks law
                                          3. Stress- Strain graphs
                                            1. Elastic Strain Energy
                                              1. Elastic strain energy is the amount of energy stored inside a material when it is deformed.
                                                1. It can be calculated using the force and the extension
                                                  1. We can also find it from the area under the graph of a force extension graph
                                              Show full summary Hide full summary

                                              Similar

                                              AQA Physics P1 Quiz
                                              Bella Statham
                                              GCSE AQA Physics - Unit 3
                                              James Jolliffe
                                              Using GoConqr to study science
                                              Sarah Egan
                                              GCSE AQA Physics 1 Energy & Efficiency
                                              Lilac Potato
                                              Waves
                                              kate.siena
                                              Forces and their effects
                                              kate.siena
                                              Forces and motion
                                              Catarina Borges
                                              Junior Cert Physics formulas
                                              Sarah Egan
                                              OCR Physics P4 Revision
                                              Dan Allibone
                                              P2 Radioactivity and Stars
                                              dfreeman
                                              Physics 1A - Energy
                                              Zaki Rizvi