Shape of the Universe, metrics and curvature

Description

Astroparticle Physics Mind Map on Shape of the Universe, metrics and curvature , created by eilisdaes on 11/06/2014.
eilisdaes
Mind Map by eilisdaes, updated more than 1 year ago
eilisdaes
Created by eilisdaes over 11 years ago
32
0

Resource summary

Shape of the Universe, metrics and curvature
  1. Observation --> Particles & Radiation = Universe origin and nature
    1. Cosmic ratiation
      1. 1912 Gallon experiment
        1. e+ & µ
          1. π^± π^0 κ^0 -mesons
            1. Solar Neutrinos
              1. ν_e -> fusion processes inside stars
                1. Few on Earth
                  1. MASSIVE
                    1. Flavour Transition µ & τ
                    2. CMB (anisotropies)
                      1. Mass-energy content
                          1. gravitational anomalies --> DM
                            1. 1930-F.Zwicky Too high V/mass-obsered
                              1. 1960=Vera Cooper Rubin
                      2. Cosmology
                        1. LARGE SCALES = properties of the Universe are the same
                          1. Origin, structure & evolution
                            1. Standard Model of Cosmology
                              1. Gravitation explains development of Universe
                                1. GR
                                  1. Other interactions compensated by pop. charche
                                    1. E = Mc2 = 10^70J = -U = Potential E.
                                      1. T.E. = 0 & Consistent with the curvature parameter
                                    2. Cosmological Principle
                                      1. Homogeneity & Isotropy
                                      2. BBT
                                          1. redshifft
                                            1. Abundance of light elementa
                                              1. Oldest objects (14Gyr)
                                            2. QUESTIONS?
                                              1. Shape indicates MATTER & ENERGY content
                                                1. EISTEIN: GRAVITY curves space
                                                  1. E & MASS produce Gravity
                                                      1. Curvature depends of mass density
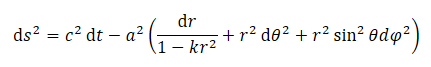
                                                        1. a=R(t) Scaling Factor
                                                          1. k = 1 closed universe k = -1 Open Universe k = 0 flat universe
                                                        2. Cosmo. Principe = CONSTANT curvature.
                                                          Show full summary Hide full summary

                                                          Similar