Factor de Compresibilidad

Descrição

Mapa Mental sobre Factor de Compresibilidad, criado por Jose Carlos Rojo em 10-10-2015.
Jose Carlos Rojo
Mapa Mental por Jose Carlos Rojo, atualizado more than 1 year ago
Jose Carlos Rojo
Criado por Jose Carlos Rojo aproximadamente 10 anos atrás
180
0

Resumo de Recurso

Factor de Compresibilidad
  1. Cerca de punto crítico y región de saturación, comportamiento de gases difiere de gas ideal
    1. Factor de Compresibilidad z es el factor de corrección
      1. Z=Pv/RT
        1. Z= v(actual)/ v(ideal)
          1. v(ideal) =RT/P
        2. Z=1 para gases ideales
          1. Mientras mayor sea Z, más alejado de comportarse como gas ideal
        3. Temperatura o presión de una temperatura es Alta o Baja en relación su T y P críticas
          1. Presión reducida
            1. Pr=P/Pcr
            2. Temperatura reducida
              1. Tr=T/Tcr
              2. Principio de estados correspondientes
                1. Factor z es casi igual para todos los gases a presión t temperatura reducida
                  1. Carta de compresibilidad generalizada se puede usar para todos los gases
                    1. A presiones muy bajas, los gases se comportan como gas ideal sin importar temperatura Pr<< 1
                      1. A temperaturas altas Tr> 2 es posible suponer con buena precisión el comportamiento de gas ideal independiente de la presión, expeto cuando Pr<<1
                        1. La desviación de comportamiento de un gas como gas ideal es mayor cerca del punto crítico
                  2. Volumen especifico pseudoreducido
                    1. vr= v(actua) /RTcr/Pcr
                      1. Al tener P ó T y v, se puede utilizar la carta de compresibilidad para determinar la tercera propiedad pero el procedimiento resulta tedioso
                        1. Sus lineas constantes se agregan a la carte de compresibilidad permitiendo determinar Po T
                        2. Otras Ecuaciones de Estado
                          1. Van der Waals
                            1. Incluyo efectos no considerados
                              1. Fuerza de Atracción Intermolecular
                                1. a/v2
                                2. Volumen ocupado por las moleculas por si mismas
                                  1. b
                                  1. Beattie-Bridgeman
                                    1. Precisa para densidades de hasta 0.8pcr
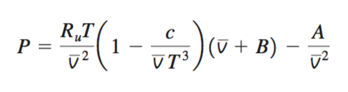
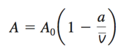
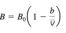
                                      1. Benedict-Webb-Rubin
                                        1. Incremento de Beattie-Bridgeman
                                          1. Densidades hasta 2.5 pcr
                                        2. Ecuación de estado viral
                                          1. Se pueden expresar en forma de serie
                                            1. Los coeficientes son en función de la temperatura
                                              1. Determinados de forma experimental o teórica partiendo de la mecanica estadistica