Oscillation

Description

A-Level Physics (Unit 5) Slide Set on Oscillation, created by Haneen Al-Baghdadi on 06/04/2016.
Haneen Al-Baghdadi
Slide Set by Haneen Al-Baghdadi, updated more than 1 year ago
Haneen Al-Baghdadi
Created by Haneen Al-Baghdadi almost 10 years ago
0
0

Resource summary

Slide 1

    Simple Harmonic Motion (SHM)
    When an objects oscillates with constant time period even if the amplitude varies, we still say it's moving with simple harmonic motion.SHM is a common type of motionWhy do old clocks use a pendulum? A pendulum oscillates backwards & forwards with a regular beat. Even as the oscillation die away, its time period stays the same.Why do time period stays the same? Because the amplitude of the swing also decreases. The pendulum moves a smaller distance at a slower speed & the time stays the same
    Caption: : Example of simple harmonic motion in real life

Slide 2

    Think about velocity
    How does velocity change as you move backwards and forwards?At each end of the oscillation you're stationary for a moment. The swing speeds up as you move back towards the centre. Once you go past this point you start to slow down again.Velocity is a vector so direction needs to be considered.

Slide 3

    Think about acceleration
    In what direction do you think that the kids would accelerate during each swing?Starting at the furthest position from the equilibrium position, the kids would speed up to the centre--they are accelerating towards the centre point.Once past the middle, the kids start to slow down until you stop at the other side of the equilibrium position. But deceleration is the same as negative acceleration, so deceleration away from B is the same as accelerating towards B. So you're still accelerating towards centre.From point C you accelerate back towards the centre again. From B to A you decelerate to a stop but again you're really accelerating towards the centre.Can you see throughout the motion that the acceleration is directed towards the centre point.

Slide 4

    How does the size of acceleration change?
    The mass in the diagram is tethered between 2 identical springs. When you pull the mass to 1 side and let go, it oscillates backwards and forwards.What pulls the mass back to the centre each time?When the mass is displaced to the left, X1 decreases & X2 increases so the resultant pull of the spring is to the right. Similarly, when the mass is displaced to the right, the resultant pull is to the left, to the centre. The more displace the mass, the greater the resultant force that pulls it back.How does this affect the acceleration?Newton's 2nd law tells us that the greater the force, the greater the acceleration. So greater the displacement away from the centre, the greater the acceleration

Slide 5

    Conditions needed for SHM?
    Acceleration is always directed towards the equilibrium position at the centre of the motion Acceleration is directly proportional to the distance from the equilibrium position

Slide 6

    Graphs of SHM
    1 way to represent the simple harmonic motion of an object is to draw graphs of its displacement, its velocity & its acceleration against time.Remember that displacement is a vector quantityDisplacement in 1 direction are taken as positive and those in the opposite direction as negative.1 complete oscillation means a movement from 1 extreme to the other and back again. The time this takes is called the time period. The number of oscillations in 1 second is called frequency. Frequency is measured in Hertz(Hz).The amplitude A of the motion is the maximum displacement. Note that this is measured from the centre of the oscillation.

Slide 7

    Comparing oscillation
    Imagine 2 masses on springs bouncing up & down, side by side. How can these oscillations differ? They could have different periods and amplitudes.Even if these are the same, how else can they differ? The oscillations could be out of step. To describe how far out of step 2 oscillations, we use the idea of phase.Phase measures how far through a cycle the movement isBy analogy with circular motion, 1 complete oscillation has a phase of 2π radians. The phase difference between 2 oscillation is usually given in radians.

Slide 8

    Linking displacement,velocity& acceleration
    Graph of displacement against time is sinusoidal.Velocity of the object is the greatest at the gradient of the displacement-time graph. When displacement is at its maximum, velocity is at its minimum.The velocity-time graph shows acceleration as acceleration is equal to the gradient of the line. This also means that when velocity is at its greatest, the acceleration is at its minimum.As seen by the graph, acceleration is π radian out of phase with the displacement graph and this is because acceleration is always towards the equilibrium position. This means that it's the opposite way of the displacement.

Slide 9

Slide 10

Slide 11

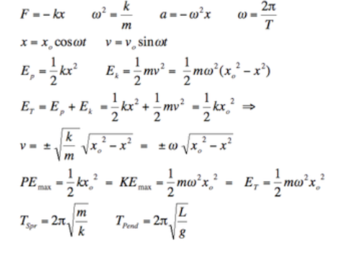
    Energy in SHM
    Imagine yourself back in a swing. At which points do you have your maximum and minimum K.EAt the maximum amplitude of your swing, you're stationary for a moment. At these 2 points your K.E is 0. Your K.E reaches its maximum as you approach the centre.Energy is always conserved which means that when your K.E is at 0, your potential energy is at its maximum as a result, as you move towards the centre: your GPE is converted to K.E.This means that the total energy of the system remains constant. Potential energy is 0 at the equilibrium position.The graph shows how the GPE & K.E vary with displacement for an object moving with SHM

Slide 12

    Energy & Amplitude
    Caption: : Ignore the u and v.
    The more energy you put into a system, the bigger the oscillations will be. Think about a mass on a spring. Does putting in twice the energy give you twice the amplitude?Total energy= K.E=½ mv^2            Vmax= +/-wA. As KE=½ mv^2                KEmax= ½m(max)^2= ½mw^2A^2Total energy is directly proportional to A^2So to make the system oscillate with twice the amplitude, you need to give four times the energy.

Slide 13

    Damping
    If you leave a pendulum or a mass as a spring oscillating, it eventually slows down and stop. The time period stays the as the amplitude gets smaller and smaller.Why does this happen? Air resistance slows the object down, Energy is lost from the system in overcoming this friction. This effect is called damping. Air resistance provides light damping(under-damped)Damping is often applied to oscillating systems, deliberately. 

Slide 14

    Resonance
    If you want to make a child's swing go higher, how do you time your pushes? You push in time with the swing's movement. You need to match the frequency of your pushing force with the natural frequency.You can force objects to liberate at any frequency but all oscillating systems have their own natural frequency & if the driving frequency is = the natural frequency then the amplitude builds up.The energy is transferred from the driver to the vibrating object. This effect is known as resonance.The graph shows how the amplitude caries with the frequency of the driving force.
    Caption: : The middle of the curve is where forced frequency is equal to natural frequency

Slide 15

    Resonance and damping
    Damping absorbs energy. This reduces the effect of resonance. The graphs shows the different levels of damping on the resonance peak.You can see that as damping increases:          1.Amplitude of the resonance peak decreases 2. Resonance peak gets broader 3. Resonance frequency gets slightly lower, so the peak moves to the left of the graph.Damping is used where resonance can be a problem.
Show full summary Hide full summary

Similar

AQA Physics P1 Quiz
Bella Statham
GCSE AQA Physics - Unit 3
James Jolliffe
Using GoConqr to study science
Sarah Egan
GCSE AQA Physics 1 Energy & Efficiency
Lilac Potato
Waves
kate.siena
Forces and their effects
kate.siena
Junior Cert Physics formulas
Sarah Egan
Forces and motion
Catarina Borges
OCR Physics P4 Revision
Dan Allibone
P2 Radioactivity and Stars
dfreeman
Physics 1A - Energy
Zaki Rizvi