|
|
Created by Sara Eskander
over 10 years ago
|
|
| Question | Answer |
| EDA – Komplex von Procain mit Trinitrobenzol Formel. Meisenheimer Komplex | |
| Iod - Azid - Reaktion in Formeln | Mercapto-Funktion (R-SH) und Thiocarbonyl- Funktion (Thioaldehyd, Thioketon) Iod-Azid-Reaktion 2 NaN3 + I2 --> 2 NaI + N2 (Gasentwicklung) |
| Bildung eines Azofarbstoffes mit Nitrit (Nitratnachweis) | |
| Entstehung des Ammonsalzes der Purpursäure aus Coffein | |
| Formel und Farbe des Retinols | |
| Formel und Farbe des ß - Carotin | |
| Mesomeristabilisiertes Endprodukt der Reaktion von Vitamin A mit Antimontrichlorid (Formel + Farbe) | |
| Endprodukt der Chromotropsäure - Reaktion (formelmäßig) | |
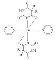
| Cu2+ - Pyridin - Komplex von Barbitursäuren in Formeln | |
| In Formeln die Reaktion von Bromid mit Permolybdänsäure und Sulfosalicylsäure. | |
| Vitali Reaktion + Farbe des Endproduktes | |
| Formeln der Sulfonamide | |
| Ringprobe (Nachweis von Nitrat) | |
| Zwikker - Reaktion + Farbe des Komplexes | Co2+ + Amin + Barbitursäure |
| Gelbfärbung einer Glycose beim Erhitzen in alkalischem Medium (Formel) | |
| Welche Vbdgen kann man mittels Ninhydrin – Reaktion nachweisen? das bei positivem Verlauf entstehende Endprodukt wiedergeben (Formel + Farbe) | |
| Org. gebundenen Schwefel mit Hilfe der Lassaigne - Probe nachweisen. Aufschluss mit metall. Natrium | |
| Bildung von Fluoreszin aus Phthalsäure | |
| Van Slyke - Reaktion | |
| Hydroxamsäurereaktion | |
| Eine apolare Verbindung A und eine polare Verbindung P werden dünnschichtchromatographisch unter verschiedenen Bedingungen getrennt. Bezeichnen Sie jeweils die beiden Substanzen mit den entsprechenden Buchstaben (A bzw. P) | |
| Formeln von Ethosuximid und Succinylsulfahiazol | |
| Fehling- Reaktion | Kupferoxid + Carbonsäure |
| Husemann - Reaktion ausgehend von Apomorphin | |
| Pentose mittels Molisch- Reaktion nachweisen | |
| Hexose mittels Molisch-Reaktion nachweisen | |
| Wozu dient die Murexid -Reaktion? Struktur eines möglichen Endproduktes | |
| Formel von je 2 aktiv hydrophilen und 2 passiv hydrophilen Partialstrukturen ungeladen | |
| Van-Deemter-Gleichung A ... beschreibt Eddy-Diffusion B ... beschreibt longitudinale Diffusion C ... beschreibt Geschwindigkeit der Gleichgewichtseinstellung | |
| Im EuAB Phenazon Identitätsprüfung: „ 1mL Prüflösung mit 4mL Wasser und 0,25mL verd. Schwefelsäure versetzt. Nach Zusatz von 1mL Natriumnitrit-Lösung entsteht Grünfärbung.“ Struktur des Reaktionsproduktes. | |
| Isonitril-Reaktion primärer Amine | |
| Fujiwara - Reaktion (Formel) | |
| Basisbreite | • Ermittlung der Wendepunkte • Anlegen der Wendetangenten • Abstand der Schnittpunkte der Wendetangenten mit der Basislinie |
| Halbwertsbreite B 1/2 | - keine Wendetangenten erforderlich - Schnittpunkt einer horizontalen Linie auf halber Peakhöhe mit den beiden Peakflanken - bei unsymmetrischen oder überlappenden Peaks leichter zu ermitteln als Basisbreite - Halbwertsbreite ist nicht die halbe Basisbreite!!! |
| Abkürzungen | Gesamtretentionszeit t R Kapazitätsfaktor k´ |
| Peakhöhe | abhängig von der Retentionszeit (Peakhöhe ist nur in bestimmten Fällen zur Quantifizierung geeignet; besser: Fläche). |
| Endprodukt Theophyllidin - Reaktion | |
| Oxidative Spaltung eines 1,2-Diols mit NaIO4 in Formeln | |
| Reaktion eines primären Amins mit Dansylchlorid in Formeln | |
| Welche Verbindung entsteht aus Resorcin und Phthalsäure? | |
| Mind. 4 Formeln zweizähniger Liganden, die mit Metallionen Chelatkomplexe bilden. | |
| Chelat - Komplexe | |
| Probe auf Magnesiarinne flüchtig unter Verkohlung | organische Verbindungen C -> CO2 H -> H2O |
| Probe auf Magnesiarinne flüchtig ohne Verkohlung | Ammonsalze, niedrigmolekulare und hochoxidierte organische Verbindungen (Oxalsäure, Harnstoff, Paraformaldehyd,...) |
| Probe auf Magnesiarinne Rückstand nach Verkohlung | |
| Probe auf Magnesiarinne Flammenfärbungen (nur ein Hinweis) | |
| Probe auf Magnesiarinne Geruch | |
| Aufschluss mit metall. Natrium | |
| Org. gebundenen Stickstoff mit Hilfe der Lassaigne - Probe nachweisen. Aufschluss mit metall. Natrium | |
| Org. gebundenen Halogen mit Hilfe der Lassaigne - Probe nachweisen. Aufschluss mit metall. Natrium | |
| Nitrat Nachweis Ringprobe | |
| Nitrat Nachweis Reaktion mit 1-Naphthol/ H2SO4 | |
| Wofür ist Löslichkeit wichtig? | |
| Löslichkeit - Definition nach EuAB ( ------ Teilen LM) | |
| Schaumbildung | |
| Fällungsreaktionen | |
| Farbreaktionen | farbige Substanzen absorbieren Licht im Bereich 400–800 nm Farbe entspricht der Komplementärfarbe des absorbierten Lichtes (z.B. blauviolett wird absorbiert - die Verbindung erscheint gelb) die meisten Arzneistoffe sind farblos - Färbung muss durch geeignete chemische Reaktionen erzeugt werden |
| Chromophore Gruppe | |
| Unselbstständige Chromphore Farbe bei: | |
| Auxochrome Gruppen | |
| Wichtige Typen von Farbreaktionen | |
| Reaktion mit starker wasserfreier Säure | |
| Reaktion mit Paraformaldehyd in Konz. Schwefelsäure | |
| Bildung eines Radikalkations | |
| Oxidation von Phenolen mit Fe 3+ / konz. H2SO4 | |
| Phenole mit Aldehyd/ konz. H2SO4 bzw. Carbonsäure/ konz. H2SO4 | |
| Formaldehyd oder Aldehyd oder Carbonsäure | |
| Papaverin | |
| Salicylsäure Acetylsalicylsäure | |
| Bildung von Azofarbstoffen | |
| Ehrlich - Reaktion | |
| Nitrosierung von Phenazon (Einführung eines selbstständigen Chromophors) | |
| Komplexe | formal stöchiometrische Vereinigung abgesättigter Verbindungen z.B. AgCl + 2 NH3 [Ag(NH3)2]+ Cl- - Metallkomplexe - Charge-Transfer-Komplexe |
| Kupfer - Komplexe | |
| Kupfer Komplexe Chen - Kao - Reaktion | |
| Fe3+ Komplex mit Salicylsäure | |
| Nachweis von Fluor in organischen Verbindungen | |
| Zirkoniumchlorid + Alizarin | |
| Fluoreszenz: typische Strukturelemente | |
| Fluoreszenz durch Derivatisierung | |
| Fluoreszenz abhängig von | 1. Temperatur (höher --> schwächer) 2. pH Wert (e- Struktur ändert sich) 3. Konzentration (steigt --> nimmt ab) |
| Bedeutung der Fluoreszenz in pharmazeutischer Analytik | |
| Alkoholische Funktionen Einwertige Alkohole | |
| Alkoholische Funktionen Mehrwertige Alkohole | |
| 1,2 - Aminoalkohole | |
| Enole | |
| Endiole | |
| Ascorbinsäure Dehydroascorbinsäure | |
| Phenole | |
| Phenole: Oxidation über Radikale | |
| Phenole: Nachweis mit Gibbs - Reagens | |
| Emerson - Reaktion | |
| Komplexbildung mit Fe3+ | |
| Phenole: Versetzen mit Bromwasser | |
| Amide: Pharm. Beispiele | |
| Imide: Pharm. Beispiele | |
| Barbitursäuren | |
| Pyrithyldion Theobromin | |
| Sulfonamide | |
| Keton + 2,4 - Dinitrophenylhydrazin | |
| Haloform - Reaktion (Iodoform) | |
| Carbonylverbindungen: Reaktion mit HNO2 | |
| Phenazon --> Nitrosophenazon | |
| α,β-ungesättigte Carbonylverbindungen (INH + Hydrocortison) | |
| Bayersche "Olefin"-Probe: Reduktion von KMnO4 | |
| Alkine | |
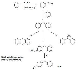
| Aromatische Teilstruktur | |
| mehrkernige Aromaten mit CrO3 zu gefärbteb Chinonen oxidierbar | |
| Mit Ag+ als AgX fällbar bei Schütteln in wässrigem Medium | |
| Basische Verbindungen | |
| Reaktion mit HNO2 | |
| Trimethylamin - Eliminierung | |
| Quartäre Ammoniumverbindungen | |
| Identitätskriterien im AB | Schmelzpunkt Tropfpunkt relative Dichte optische Drehung Erstarrungspunkt Siedebereich Brechungsindex Extinktion Viskosität |
| Eutektische Temperatur | |
| Refraktometrie | |
| Fest-Flüssig-Extraktion | |
| Flüssig-Flüssig-Extraktion | |
| Anwendung der Refraktometrie | • Identitätsprüfung flüssiger Arzneistoffen • Reinheitsprüfung flüssiger Arzneistoffe • Quantitative Bestimmung von Lösungen (Kalibrationskurve nötig) • Detektionsmethode in der HPLC |
| Oxidative Spaltung eines vicinalen Diols mit Natriumperiodat |
Want to create your own Flashcards for free with GoConqr? Learn more.