Function Review Quiz

Beschreibung

Function Review Practice
Staci Gallun
Quiz von Staci Gallun, aktualisiert more than 1 year ago
Staci Gallun
Erstellt von Staci Gallun vor fast 9 Jahre
206
0
1 2 3 4 5 (0)

Zusammenfassung der Ressource

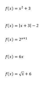
Frage 1

Frage
Match each equation with the correct type of function.
Antworten
  • quadratic
  • cube root
  • parabola
  • absolute value
  • logarithmic
  • exponential
  • vertical
  • linear
  • square root

Frage 2

Frage
Determine the indicated features of the graph below.
Antworten
  • 3
  • -3
  • -6
  • 6
  • (0,2)
  • (2,0)
  • y=mx+b
  • y=-2
  • Range
  • ALL REAL NUMBERS
  • [-2,2]
  • [2,2]
  • [2,-4]
  • NEVER!
  • (-infinity,5)
  • (0,0)

Frage 3

Antworten
  • True
  • False

Frage 4

Frage
Check all that apply.
Antworten
  • The zeros of the graph are x=0 and x=-2
  • The minimum of the graph occurs (-1,1)
  • The graph is an absolute value function
  • The graph is a quadratic function
  • As x goes to infinity, y goes to negative infinity
  • The range in (-infinity, 1]
  • The domain is ALL REAL NUMBERS
  • The graph is never increasing
  • The domain does not exist

Frage 5

Frage
Match each description with the function.
Antworten
  • left 1 unit
  • down 2 units
  • reflect over the x-axis
  • up 6 units
  • left 2 units
  • down 1 unit
  • right 2 units
  • left 6 units

Frage 6

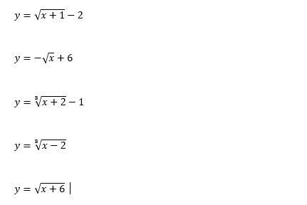
Frage
Match each equation with the correct graph.
Antworten
  • y=-√(x-1)
  • y=-∛(x+4)
  • y=√(x+3)
  • y=√(x-3)
  • y=√(x)+3
  • y=-(√x)-1
  • y=√x-1
  • y=∛(x+4)
  • y=-∛(x)+4

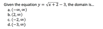
Frage 7

Frage
Determine the correct equation for the graph.
Antworten
  • y=2(3)^x
  • y=2x+3
  • y=3(2)^x
  • y=3^x

Frage 8

Frage
a) The y-intercept of the graph is at the point [blank_start](0,3)[blank_end]. b) Where is the graph increasing? [blank_start]Never[blank_end] c) The equation of the asymptote is [blank_start]y=2[blank_end] d) The domain of the function is [blank_start]all real numbers[blank_end].
Antworten
  • (0,3)
  • Never
  • y=2
  • all real numbers

Frage 9

Frage
As x goes to negative infinity, what happens to y?
Antworten
  • y goes to negative infinity
  • y goes to zero
  • y goes to -1
  • y goes to infinity
  • y does not exist

Frage 10

Frage
Determine the characteristic of the given graph.
Antworten
  • x>-2
  • All Real Numbers
  • (-infinity,0)
  • y=-2
  • x=-2
  • y=0
  • Never
  • (-infinity,-infinity)
  • (-2,infinity)
  • (-infinity,-2)
  • y goes to infinity
  • x goes to infinity
  • y goes to 0
  • y goes to -2
  • y goes to -infinity

Frage 11

Frage
Select the correct answer.
Antworten
  • a
  • b
  • c
  • d

Frage 12

Frage
Select the correct answer.
Antworten
  • a
  • b
  • c
  • d

Frage 13

Frage
Select the correct answer.
Antworten
  • a
  • b
  • c
  • d

Frage 14

Frage
Select the correct answer.
Antworten
  • a
  • b
  • c
  • d

Frage 15

Frage
Select the correct answer.
Antworten
  • a
  • b
  • c
  • d

Frage 16

Frage
Select the correct answer.
Antworten
  • a
  • b
  • c
  • d

Frage 17

Frage
Select the correct answer.
Antworten
  • a
  • b
  • c
  • d

Frage 18

Frage
Select the correct answer.
Antworten
  • a
  • b
  • c
  • d

Frage 19

Frage
Select the correct answer.
Antworten
  • a
  • b
  • c
  • d

Frage 20

Frage
Select all that apply.
Antworten
  • a
  • b
  • c
  • d
  • e
  • f
  • g

Frage 21

Frage
The vertex of the graph is [blank_start](2,5)[blank_end].
Antworten
  • (2,5)

Frage 22

Frage
Fill in the blanks.
Antworten
  • 2
  • 4
  • x=-2

Frage 23

Frage
Be sure to include x= or y= for each asymptote.
Antworten
  • y=5
  • y=0
  • x=1
  • y=141
  • x=0
  • x=56

Frage 24

Frage
Select the correct answers for each blank.
Antworten
  • (-infinity,-7)
  • (-7,infinity)
  • (-infinity,infinity)
  • (-2,infinity)
  • All Real Numbers
  • (0,infinity)
  • (-2,infinity)
  • (-infinity,-2)
  • infinity
  • 7
  • -7
  • -infinity
  • infinity
  • -infinity
  • -7
  • -2
  • x
  • y
  • h
  • k
  • 7
  • -7
  • 2
  • -2
  • -1
  • reflected
  • rotated
  • translated
  • x
  • y
  • h
  • k
  • 2
  • -2
  • 4
  • -1
  • up
  • down
  • left
  • right
  • 7
  • -2
  • -1
  • 4
  • up
  • down
  • left
  • right

Frage 25

Frage
The equation of this graph is...(be sure to include the y =)
Antworten
  • y=3sin(180x)+2
Zusammenfassung anzeigen Zusammenfassung ausblenden

0 Kommentare

There are no comments, be the first and leave one below:

ähnlicher Inhalt

SAMPLING
Elliot O'Leary
Mathematics A - Edexcel - GCSE - Paper 1 November 2014 1MA0/1H Theory
Josh Anderson
CUMULATIVE FREQUENCY DIAGRAMS
Elliot O'Leary
STEM AND LEAF DIAGRAMS
Elliot O'Leary
TYPES OF DATA
Elliot O'Leary
Geometry Formulas
Selam H
Pythagorean Theorem Quiz
Selam H
Fractions and percentages
Bob Read
GCSE Maths Symbols, Equations & Formulae
Andrea Leyden
FREQUENCY TABLES: MODE, MEDIAN AND MEAN
Elliot O'Leary