Progressão Geométrica (PG)

Descripción

Mapa Mental sobre Progressão Geométrica (PG), creado por Luiz Otávio el 26/10/2016.
Luiz Otávio
Mapa Mental por Luiz Otávio, actualizado hace más de 1 año
Luiz Otávio
Creado por Luiz Otávio hace alrededor de 9 años
176
2

Resumen del Recurso

Progressão Geométrica (PG)
  1. INTRODUÇÃO
    1. é toda sequência numérica em que cada termo, a partir do segundo, é igual ao produto do termo anterior por uma constante q. O número q é chamado de razão da progressão geométrica.
    2. TERMO GERAL
      1. NOTA
        1. 2 - Numa PG finita, o produto de dois termos equidistantes dos extremos é igual ao produto dos extremos
          1. Podemos estender a definição do termo geral para:
            1. 3 - Em uma PG, tomando-se três termos consecutivos, o termo central é a MÉDIA GEOMÉTRICA dos seus vizinhos
          2. NOTAÇÕES ESPECIAIS
            1. Quando procuramos obter uma PG com 3 ou 4 termos é muito prático utilizar as seguintes notações:
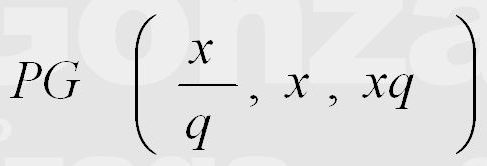
              1. 3 TERMOS
                1. 4 TERMOS
                2. INTERPOLAÇÃO DE MEIOS GEOMÉTRICOS
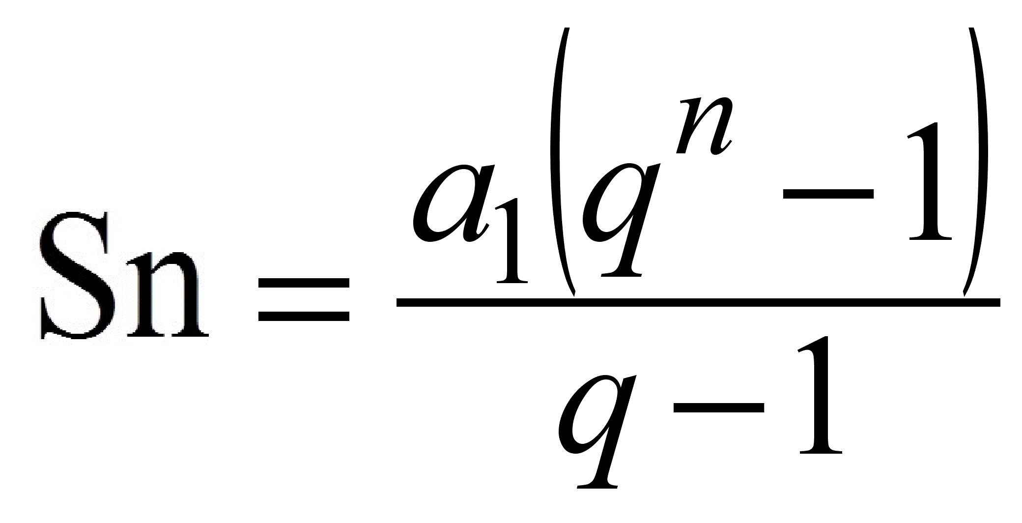
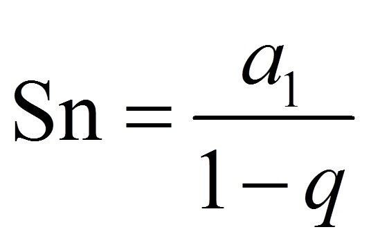
                  1. SOMA dos TERMOS de uma PG Finita e Infinita
                    1. PG Finita
                      1. PG Infinita
                      Mostrar resumen completo Ocultar resumen completo

                      Similar

                      Matemática 1
                      Marcelo kkk