LAbel data is a Tabel which and especialisty classify the kind of subject he is searching giving them some classification acordingly with its features. Whic is some values sizes or references to comparation.
Represent lines in graphs
X
WingSpan
Space
Y
Mass
Time
used to
plot Data
overlap
Meaning
To have something in comon
TO ocupy the same area in part
Machine Learn Algorithm
Find Optimal
Seplaratkon
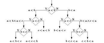
Clasification
Condition
X-axis
X(Wing Span) < 45 mm
Emperor Moth
Y-axis
Y(mass) < .75
Emperor Moth
Annotations:
So It takes both features to consideration and clasify within the group which one is an emperor moth and which one is the emperor moth
Training Data
Some especialist
Colect & Organize
Data
BAsicaly compare
Images
Sound
Touch
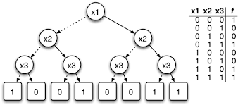
Decision Tree
Algorithm forests
Contains alot tree algorithm
Support vector machine
Dry lines in the graph
Polynomials
other fancy math mathematical function
To find the most accurate decision baundaries
3 lines 3D decision baundaries
algorithm
Job
at a high level
Maximize
Correct classification
Annotations:
The algorith compare the data given to it. And try to organize in the most efective way the subejcts and informations given o it.
Minimize errors
Artificial Neural Network
Neurons
Cells
Process
one or more impulses
from other cells
Transmit
Messsges
using
Signals
Electrical
chemical
Their own signal to other cells
Artificial Neurons
Take a series of inputs
Combine them
Emits a signal
Annotations:
Rather than beig electrical or chemical signals, artificial neurons take numbers in and spit numbers out.