Función cuadrática

Description

Mind Map on Función cuadrática, created by William Cárdenas on 21/10/2014.
William Cárdenas
Mind Map by William Cárdenas, updated more than 1 year ago
William Cárdenas
Created by William Cárdenas about 11 years ago
6
0

Resource summary

Función cuadrática
  1. formada por expresiones de la forma f(x)=ax^2+bx+c
    1. cumple
      1. x es la variable independiente, y es dependiente
        1. a,b y c son números reales, a diferente de cero
          1. bx es el término lineal
            1. c es el término dependiente
              1. Su gráfica es una parábola
                1. Se tiene en cuenta
                  1. Vétice
                    1. Valores máximos y mínimos
                    2. Eje de simetría
                      1. Cortes con los ejes
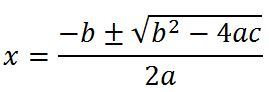
                        1. Ecuación cuadrática
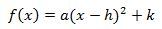
                          1. Forma estándar
                            1. Transformación de funciones cuadráticas
                          2. Tabla de valores
                            1. Dominio
                              1. Rango
                        2. Aplicaciones
                          1. Ciencias
                            1. problemas de máximos y mínimos
                              1. Trayectorias parabolicas
                            Show full summary Hide full summary

                            Similar

                            Función cuadrática
                            Ana Yansi Bonilla Arias
                            FUNCIÓN CUADRÁTICA
                            Matias Valdebenito
                            Función de segundo grado
                            Ana Yansi Bonilla Arias
                            Fórmulas para la función cuadrática
                            Ana Yansi Bonilla Arias
                            Función Cuadrática Mapa
                            Meylin Díaz Sánchez
                            Preguntas de Álgebra
                            Alonso Aguilar
                            Función cuadrática
                            Analía Leyez
                            Funciones Cuadráticas
                            Camila Soto Sepúlveda
                            TEST DE FUNCIÓN CUADRÁTICA
                            Alejandra Mariño Porras
                            Explorando la Gráfica de la Función Cuadrática
                            Sebastian Alberto Resquin
                            Preguntas de Álgebra
                            Alonso Aguilar