Equilibri Qímic

Description

uTema Equilibri Químic
sssilviaa97
Mind Map by sssilviaa97, updated more than 1 year ago
sssilviaa97
Created by sssilviaa97 almost 11 years ago
26
0

Resource summary

Equilibri Qímic
  1. Reaccions reversibles
    1. Reaccions en les quals els reactius no passen a ser productes totalment, ja que té un procés de doble sentit i els productes tornen a ser reactius.
      1. S'aconsegueix l'equilibri químic quan la velocitat de reacció directa = velocitat reacció inversa/ Concentracions constants.
    2. La constant d'equilibri Kc
      1. És el quocient entre les concentracions en equilibri dels productes i reactius. És per a una determinada temperatura i no depen de les concentracions inicials.
        1. Kc >>1
          1. Equilibri cap a la dreta
          2. Kc<<1
            1. Equilibri cap a l'esquerra
        2. Tipus d'equilibris
          1. Homogeni
            1. Totes les espècies químiques es troben en la mateixa fase
            2. Heterogeni
              1. No totes les substàncies presents es troben en la mateixa fase
            3. Grau de dissociació
              1. És la raó entre la variació que experimenta el nombre de mols de la substància i el nombre de mols inicials
              2. El quocient de reacció Qc
                1. Valor que s'obté en substituir les concentracions d'una mescla reaccionant en la contant d'equilibri Kc. Ens serveix per saber si el sistema es troba o no en equilibri i la direcció en la qual ha de progressar per a arribar-hi.
                  1. Qc > Kc
                    1. Sistema no està en equilibri. Porgresarà cap a l'esquerra
                    2. Qc = Kc
                      1. Sistema en equilibri
                      2. Qc < Kc
                        1. Sistema no està en equilibri. Porgresarà cap a la dreta
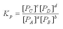
                    3. La constant Kp
                      1. Quan es tracta de gasps en equilibri. Expressa quantitativament la llei d'equilibri en funció de les pressions parcials dels gasos de la mescla
                          1. Relació entre Kc i Kp
                      2. Energia lliure i constant d'equilibri
                        1. Si increment de G > 0
                          1. Reacció en l'equilibri tendeix a l'esquerra
                          2. Si increment de G < 0
                            1. Reacció en l'equilibri tendeix a la dreta
                          3. Principi de Le Chatelier
                            1. Una alteració externa dels factors que intervenen en l'equilibri indueix un reajustament del sistema per reduir l'efecte d'aquesta alteració i establir de nou l'estat d'equilibri
                              1. CANVIS CONCENTRACIÓ
                                1. Si augmenta,el sistema es desplaça en el sentit en què es consumeix aquesta substància
                                  1. Si disminueix,el sistema es desplaça en el sentit en què es produeix aquesta substància
                                  2. CANVIS PRESSIÓ
                                    1. Si augmenta la pressió, el sistema es desplaça en el sentit en què hi ha una disminució del nombre de mols de gas
                                      1. Si disminueix la pressió, es desplaça en el sentit en què hi ha un augment del nombre de mols de gas.
                                      2. CANVIS TEMPERATURA (AHº)
                                        1. Si augmenta, el sistema es desplaça en sentit de la reacció endotèrmica
                                          1. Si disminueix, el sistema es desplaça en sentit de la reacció exotèrmica
                                      Show full summary Hide full summary

                                      Similar

                                      Test de Nomenclatura
                                      barbaraomb88
                                      Regla del octeto
                                      Ligia Solís Torres
                                      QUÍMICA GENERAL - UNAD
                                      Tatiana Bernal
                                      Fuerzas intermoleculares
                                      Ligia Solís Torres
                                      Quiz Mezcla 1
                                      Derek Gonzalez
                                      Materia
                                      Ronnie Ruuz
                                      Propiedades de la materia
                                      Ligia Solís Torres
                                      DAÑO Y LESION CEREBRAL
                                      c casta
                                      Tipos de fórmulas químicas
                                      Ligia Solís Torres
                                      Definiciones en estequiometría
                                      Ligia Solís Torres
                                      Ramas de la Química
                                      El Padre