Calculo I

Description

Es un esquema de calculo I Sera actualizado DOS veces por semana
Danny Lopez
Mind Map by Danny Lopez, updated more than 1 year ago
Danny Lopez
Created by Danny Lopez almost 11 years ago
90
4

Resource summary

Calculo I
  1. Limites
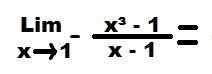
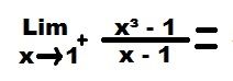
    1. F(x)= x³ -1/x-1
      1. x=1 Hueco en 1
        1. porque el denominador no puede dar 0
          1. Buscamos los Lim. Laterales
            1. Hacemos una tabla
              1. Hacemos una tabla
                  1. Los valores se aproximan a 3
                    1. Los valores se aproximan a 3
            2. Concepto informal de Lim
              1. Sea f(x) una funcion, si las imagenes se aproximan lo suficiente a un valor L, cuando x se aproxima los suficiente a un valor b, entonces decimos que el lim x---> b de f(x) = L y eso se escribe :
              2. Propiedades de los Lim
                  1. Cuando C= Constante
                    1. Ejemplo
                        1. Solo reemplazamos
                          1. Ejemplo
                              1. Cuando n es una potenciacion
                                1. Ejemplo
                                    1. Se puede desarrollar como f(x)+g(x) o como Lim f(x) + lim g(x)
                                      1. Ejemplo
                                          1. Se puede desarrollar como (f(x)).(g(x)) o como Lim f(x) . lim g(x)
                                            1. Ejemplo
                              1. Ejemplo
                        Show full summary Hide full summary

                        Similar

                        Límites
                        Cesar Morgado
                        TEST DE LIMITES
                        Mariam Ramirez
                        QUE ES UN PROCESO; LIMITES, ELEMENTOS Y FACTORES
                        gabriela sornoza
                        FUNCIONES Y LIMITES - TEST FACIL
                        KEVIN DAVID SILVA PEREZ
                        Tarea Tema I
                        lizzeth.navarro
                        Test de Mediastino General.
                        Carlos M. Paredes G.
                        Alcances y Limitaciones en una investigación
                        Jaiker Saavedra
                        Fichas de estudio
                        ANAVEL GUTIERREZ ORTIZ
                        DERECHOS HUMANOS
                        Ines Calandriell
                        LIMITES
                        juli.2020
                        Pautas de Crianza
                        Aleida Galvis