ASIMETRIA ESTADISTICA

Description

asimetria estadistica
Natalia Saenz
Mind Map by Natalia Saenz, updated more than 1 year ago
Natalia Saenz
Created by Natalia Saenz over 10 years ago
402
0

Resource summary

ASIMETRIA ESTADISTICA
  1. Las medidas de asimetría son indicadores que permiten establecer el grado de simetría (o asimetría) que presenta una distribución de probabilidad de una variable aleatoria sin tener que hacer su representación gráfica.
    1. Como eje de simetría consideramos una recta paralela al eje de ordenadas que pasa por la media de la distribución. Si una distribución es simétrica, existe el mismo número de valores a la derecha que a la izquierda de la media, por tanto, el mismo número de desviaciones con signo positivo que con signo negativo. Decimos que hay asimetría positiva (o a la derecha) si la "cola" a la derecha de la media es más larga que la de la izquierda, es decir, si hay valores más separados de la media a la derecha. Diremos que hay asimetría negativa (o a la izquierda) si la "cola" a la izquierda de la media es más larga que la de la derecha, es decir, si hay valores más separados de la media a la izquierda.
      1. MEDIDAS DE ASIMETRIA
        1. Coeficiente de asimetría de Fisher
          1. Coeficiente de asimetría de Bowley
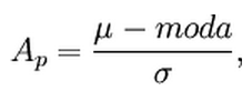
            1. Coeficiente de asimetría de Pearson
            2. UTILIDAD
              1. Las medidas de asimetría, sobre todo el coeficiente de asimetría de Fisher, junto con las medidas de apuntamiento o curtosis se utilizan para contrastar si se puede aceptar que una distribución estadística sigue la distribución normal. Esto es necesario para realizar numerosos contrastes estadísticos en la teoría de inferencia estadística.
              Show full summary Hide full summary

              Similar

              ÓRTESIS DE LA COLUMNA
              leidy gonzalez
              Mapa Conceptual
              Laura Laguna
              Mapa Conceptual
              Laura Perez6723
              Organizadores Gráficos
              Eunice Sabaján
              Mapa Conceptual
              Javierr
              Mapa Conceptual
              Yirleidy Herrera
              Herramientas Maestras para mapas conceptuales
              David Alejandro Arcila Hurtado
              ALCOHOLES Y ÉTERES
              vanesabejarano
              Esclavismo y feudalismo en el Viejo Mundo
              Maycol Andagoya
              RECURSOS HUMANOS (RRHH)
              Carlos Pinzon
              MINERÍA DE DATOS
              María Molina