LOGICA MATEMATICA

Description

teoría de conjuntos
Ander Moreno
Mind Map by Ander Moreno, updated more than 1 year ago
Ander Moreno
Created by Ander Moreno over 10 years ago
64
0

Resource summary

LOGICA MATEMATICA
  1. Teoría de conjuntos
    1. un conjunto es un grupo de elementos u objetos especificados de tal forma que se puede afirmar con certeza si cualquier objeto dado pertenece si o no a la agrupación.
      1. ESTOS CONJUNTOS ESTAN DIVIDIDOS EN :
        1. COJUNTO DE NUMEROS NATURALES
          1. es el conjunto que utilizan para representar los cardinales principales y se designan con la letra N siendo su conjunto infinito por que no tiene ultimo termino
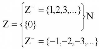
          2. CONJUNTO DE NUMEROS ENTEROS
            1. este conjunto esta formado por los números naturales y los números negativos, los cuales se simbolizan con la letra ¨Z¨
            2. CONJUNTO DE LOS NUMEROS RACIONALES
              1. esta formado por los números enteros y los fraccionarios y se simbolizan con la letra Q
              2. CONJUNTO DE LOS NUEMROS IRRACIONALES
                1. este son tipos de números que no se pueden expresar de manera sencilla como el cociente de los números.
                2. CONJUNTO DE LOS NUMEROS REALES
                  1. este el conjunto de los números racionales o irracionales que pueden medir longitudes, junto con sus inversos aditivos y el cero
                  2. CONJUNTO UNIVERSO
                    1. es el conjunto que contiene a todos los elementos del discurso es un termino relativo se le reconoce con la letra U
                    2. CONJUNTO UNITARIO
                      1. es todo conjunto que esta formado o compuesto por un solo elemento
                      2. CONJUNTO VACIO
                        1. es aquel que no posee ningún elemento
                  Show full summary Hide full summary

                  Similar

                  Teoría de Conjuntos
                  Yanalta Santos Hernandez
                  LOGICA MATEMATICA
                  Jose Izurieta
                  LOGICA
                  Pablo Morales
                  Matemáticas Discretas
                  Yanalta Santos Hernandez
                  Proposiciones e Inferencias Lógicas
                  Jose Alvarado
                  Circuitos Logicos
                  Jonathan Carrrero
                  test TEORÍA DE CONJUNTOS
                  Fer Carranza
                  Logica matematica
                  neyler mosquera
                  CLASES DE CONJUNTOS
                  Sandra Milena Mejia Echeverri
                  Lógica Matemática (Básica)
                  Juan Camilo Tangarife Martinez
                  UNIDADES TEMATICAS DE CURSO LOGICA MATEMATICA
                  sandrusca2003