Potencias

Description

potencias
emiliorazomontie
Mind Map by emiliorazomontie, updated more than 1 year ago
emiliorazomontie
Created by emiliorazomontie over 10 years ago
417
1

Resource summary

Potencias
  1. Productos de potencias de la misma base
    1. El producto de potencia de la misma base es igual a esa base y el exponente es la suma de los exponentes de los factores
    2. Potencia de otra potencia
      1. Se multiplica la base con los dos exponentes para que se obtener un exponente
      2. Potencias de un producto
        1. La potenica de un producto equivale a elevar cada una de los factores a la potencia indicada
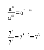
        2. Cocintes de potencias
          1. En la division de potencias de la misma base el cociente se obtiene anotando esa misma base y el exponente es igual a la resta del exponente del dividendo menos el exponente del divisor
          2. Potencia de exponente 0
            1. Todo numero diferente de 0, con exponente 0 es igual a la unidad
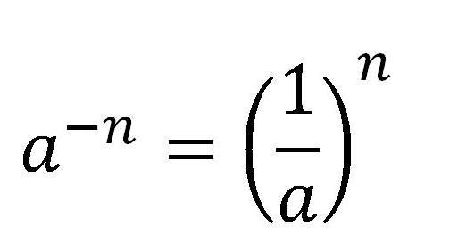
            2. Potencia de exponente negativo
              1. Todo numero con exponente negativo es igual a una fraccion, donde el numerador es la unidad y el denominador es el mismo numero con exponente positivo
              Show full summary Hide full summary

              Similar

              FRACCIONES...
              JL Cadenas
              FRACCIONES...
              Ulises Yo
              Factorización de expresiones algebraicas_1
              Juan Beltran
              Factorización de expresiones algebraicas_2
              Juan Beltran
              Sucesiones Aritméticas
              Elaine del Valle
              Introducción al Álgebra
              Tulio Herrera
              HABILIDAD MATEMÁTICA 2019
              Daniel Valdelamar
              ÁREA Y LONGITUD DE ARCO
              Erika Carolina Chuncha Ashqui
              ELEMENTOS VECTORIALES
              Leslie Leon
              calculo diferencial
              elcontension
              Potencias
              Carla García