TEMPERATURA

Description

REALIZAR MAPAS PARA SOLUCIÓN DE TEMAS
alba cortes
Mind Map by alba cortes, updated more than 1 year ago
alba cortes
Created by alba cortes over 10 years ago
69
0

Resource summary

TEMPERATURA
  1. Magnitud que mide el nivel termico o calor, que posee un cuerpo toda sustancia, solida liquida y gas estan constituidsa por moleculas en movimiento, la suma de estas es energía termica y la temperatura mide la energía
    1. Lo medimos con el termometro
      1. Podemos encontrar tres unidades de temperaturas
        1. Kelvin(K); Fahrenheit(°f);Celsius(°C)
          1. KELVIN
            1. Unidad de temperatura, nombre matematico del fisico ingles WILIAM THOMSON
              1. se conoce como la letra "k"
                1. fraccionada en 1/273,16
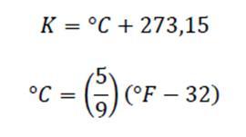
                  1. FORMULA
            2. FARENHEIT
              1. Se utliza en Estados Unidos
                1. punto de congelación en 32 y ebullición212°f
                  1. formulas
              2. CELSIUS
                1. Medición universal
                  1. Dividida en 100 grados desde 0 punto de congelación hasta 100 punto de ebullición
                    1. formulas como las de pasarlas a fahrenheit y a kelvin como las anteriores imagenes la muestran
          Show full summary Hide full summary

          Similar

          Sucesiones Aritméticas
          Elaine del Valle
          TODO SOBRE LA ELECTRICIDAD
          Diego Moreno
          Mapa mental de Calor y Temperatura
          SARAH CALDERON
          ¿Qué es la Hidrostática?
          Gabriela Orz Gmz
          CALOR Y TEMPERATURA.
          Paula Urrego
          Prueba de Fisica vectores
          wagner sanchez
          Calor y Temperatura
          Myroslava Cabrera
          Test Final: Instrumentación Industrial
          Editzabeth Ortegon Rojas
          Derivadas
          Victor Pulupa
          Cinematica
          Ague G.A