HIDROSTATICA

Description

MAPA MENTAL HIDROSTATICA
mafer.061998
Mind Map by mafer.061998, updated more than 1 year ago More Less
mafer.061998
Created by mafer.061998 about 10 years ago
mafer.061998
Copied by mafer.061998 about 10 years ago
5
0

Resource summary

HIDROSTATICA
  1. DENSIDAD nos indica la caqntidad de masa que tiene un cuerpo por cada unidad de volumen cada sustancia (liquida ,solida o gaseosa) tiene su propia densidad
    1. PRESION mide la fuerza en direccion perpendicular por unidad de superficie , sirve para caracterizar como se aplica una determinada fuerza sobre una superficie
      1. PRICIPIO DE PASCAL el incremento de la presion aplicada a una superficie de un fluido iicompresible (se trata de un liquido) se trasmite con el mismo valor a cada una de las partes del mismo
        1. PRENSA HIDRAULICA es un mecanismo conformado por vasos comunicantesimpulsados por pistones de diferentes areas
      2. HIDRODINAMICA estudia la dinamica de los liquidos
        1. LEY DE POISEUILLE permite determinar el flujo laminar estacionario de un liquido incompresible y uniforme atraves de un tubo cilindrico
          1. ECUACION DE CONTINUIDAD la cantidad de fluido que entra sale disminuyendo presion de entrada y aumentando su velocidad de salida
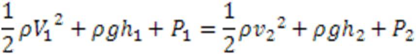
            1. ECUACION DE BERNOULLI describe el comportamiento de un fluido moviendose a lo largo de una linea de corriente dentro de un volumen de control
              1. NUMERO DE REYNOLDS es un numero adimencional utilizado en mecanica de fluidos para caracterizar el movimiento indica si el flujo es laminar o turbulento
              2. TUBO VENTURI este tubo esta diseñado para medir la velocidad de un fluido, algunos se utilizan para acelerar la velocidad de un fluido
                1. TUBO DE PITOT se utiliza para calcular la presion total (suma la presion estatica y de la presion dinamica)
                  1. FLUJO TURBULENTO su movimiento se da de forma caotica , las particulas se mueven desordenedamente y las trayectorias de las particulas forma pequeños remolinos
                    1. FLUJO LAMINAR el fluido de este es ordenado el flujo se mueve en laminas paralelas ,cada particula de fluido sigue una trayectoria suabe llamada linea de corriente
                2. TENSION SUPERFICIAL es la cantidad de energia nesesaria para aumentar su superficie por unidad de area
                3. FLUIDO lo que define al fluido es su comportamiento no su composicion , es el estado de la materia la que permite una mejor clasificasion
                  1. PRINCIPIO DE ARQUIMEDES cualquier cuerpo solido que sea sumergido total o parcialmente en un fluido sera empujado en direccion ascedente por una fuerza igual al peso del volumen del liquido desplazado por el cuerpo solido
                    1. PESO ESPECIFICO es la magnitud fisica escalar que nos informa el peso que posee una sustancia
                      1. PRINCIPIO DE BERNOULLI describe el comportamiento de un fluido moviendose a lo largo de una corriente de agua
                        1. ENERGIA POTENCIAL mide la capasidad que tiene dicho sistema para realizar un trabajo en funcion exclusivamente de su pocion o configurasion
                          1. ENERGIA CINETICA esta energia se posee debido a su movimiento , de una masa determinada desde el reposo hasta la velocidad indicada
                        2. CONBUSTION DE ESTADOS es la conbinacio quimica del oxigeno con determinados cuerpos combustibles que produsen con notable desprendimiento de calor
                          Show full summary Hide full summary

                          Similar

                          Cinemática
                          maya velasquez
                          CUESTIONARIO DE FÍSICA
                          amam3105
                          Diferencias entre la Química y Física
                          maya velasquez
                          La Ley de la Gravedad
                          maya velasquez
                          Física: Conceptos Básicos
                          maya velasquez
                          Segunda Ley de la Termodinámica
                          Virginia León
                          INTRODUCCIÓN A LA FÍSICA
                          moises silva daza
                          Métodos gráficos para sistemas de fuerzas
                          Andres Alberto Dranuta
                          Método científico
                          Carlos Eduardo Solano González
                          FUENTES DE ENERGÍA
                          Alba Guzman
                          Efecto Fotoeléctrico
                          Katharine Poloche