null
US
Sign In
Sign Up for Free
Sign Up
We have detected that Javascript is not enabled in your browser. The dynamic nature of our site means that Javascript must be enabled to function properly. Please read our
terms and conditions
for more information.
Next up
Copy and Edit
You need to log in to complete this action!
Register for Free
3917115
Fricción
Description
A01272359 A01207188
No tags specified
fisica general
friccion
mapa
Mind Map by
Sandy Solis6899
, updated more than 1 year ago
More
Less
Created by
Sandy Solis6899
about 10 years ago
37
1
0
Resource summary
Fricción
Fuerza que se opone al movimiento de los cuerpos.
hay dos tipos
ESTÁTICA
NO movimiento entre superficies
Varia
Fuerza normal y peso
movimiento al pasar la fuerza de fricción
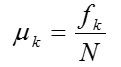
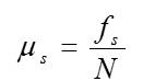
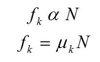
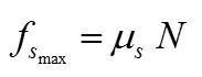
Coeficiente
CINÉTICA
el rozamiento que actúa sobre un objeto en movimiento
Coeficiente
SE DICE QUE...
Debido a que la velocidad permite que la fricción disminuya.
COEFICIENBTE
Es la razón de la fuerza requerida para mover un cuerpo sobre otro y la fuerza total ejercida entre los dos cuerpos.
Sandra Solis Florido A01272359
Hugo García A01207188
Media attachments
bfbb998f-ad16-4597-aca7-7e047c739052 (image/png)
f4d3bab8-fd76-4c71-afc3-7829dfa6ea24 (image/jpg)
07517563-47bb-4365-8598-c3d645438110 (image/jpg)
b0d65da9-c291-4fcc-b24b-b8268e7ddcd4 (image/jpg)
a747d622-a93c-4cd6-994a-c878f10355e9 (image/jpg)
f8f681fe-9c4a-4316-b05c-e38898b09b1b (image/jpg)
bff0e3df-7cee-471f-994e-cd5e8f15d042 (image/jpg)
05fb3dec-a2b3-4aa9-ba7e-a9cce4dfb82b (image/jpg)
d242f757-6daa-4c4c-807d-3e022df42dd6 (image/jpg)
8fbe3a7c-63c9-4048-a806-54a6c759e93c (image/jpg)
f6a16e60-6aa7-4ccf-9cff-28f2767c3500 (image/jpg)
Show full summary
Hide full summary
Want to create your own
Mind Maps
for
free
with GoConqr?
Learn more
.
Similar
ÁFRICA
Ulises Yo
CIUDADES I...
JL Cadenas
CIUDADES II...
JL Cadenas
Mapa Conceptual
Laura Laguna
Mapa Conceptual
Laura Perez6723
La diversidad y el juego
nicolesanchezand
"MAPA CONCEPTUAL"
Bertha Castillo
Mapa de navegación UNIMINUTO
Alejandro Dueñas
Estructura Celular
Vero Lara
Enlaces Químicos
Camila Barbosa
Mapa Conceptual
Javierr
Browse Library