ONDAS

Description

Temario 2ªBach
Jimena Mejía
Mind Map by Jimena Mejía, updated more than 1 year ago
Jimena Mejía
Created by Jimena Mejía over 10 years ago
51
0

Resource summary

ONDAS
  1. Definición
    1. Perturbación
      1. Energía
        1. No
          1. Materia
      2. Clasificación
        1. Duración
          1. Pulso
            1. Tren de ondas
            2. Medio
              1. Mecánicas
                1. Electomagnéticas
                2. Relación y direccion
                  1. Vibración y propagación
                    1. Transversales
                      1. Longitudinales
                    2. Forma
                      1. Frente de ondas
                        1. Conjunto
                          1. Puntos
                            1. Mismo instante
                              1. Mismo estado de perturbación
                          2. Ondas unidimensionales
                            1. Puntuales
                            2. Ondas bidimensionales
                              1. Circulares
                              2. Ondas tridimensionales
                                1. Esféricas
                          3. Magnitudes
                            1. Periodo
                              1. Frecuencia
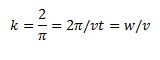
                                1. Número de onda
                                  1. Cantidad de ondas en 2 pi
                                    1. Relaciona con la frecuencia angular
                                  2. Velocidad de propagación
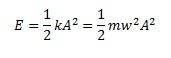
                                    1. Amplitud
                                    2. Ecuación
                                      1. Tiempo de vibración
                                        1. General
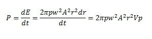
                                          1. Energía
                                            1. Potencia
                                              1. Intensidad
                                                1. Relaciones
                                                2. Reflexión
                                                  1. Rayo incidente, rayo reflejado y normal
                                                    1. Mismo plano
                                                    2. Angulo de influencia y reflexion
                                                      1. Iguales
                                                    3. Refracción
                                                      1. Rayo incidente, rayo reflejado y normal
                                                        1. Mismo plano
                                                        2. Relación
                                                          1. Vp, medios de incidencia y refracción
                                                          2. Índice de refracción
                                                            1. Segunda ley de Snell
                                                            2. Ángulo límite
                                                              1. Refracción total
                                                              2. Principio de Huygens
                                                                1. Todos los puntos
                                                                  1. Frentes de ondas
                                                                    1. Focos emisores
                                                                2. Difracción
                                                                  1. Frente de onda
                                                                    1. Llega a un obstaculo
                                                                      1. Si el obstaculo
                                                                        1. Pequeño
                                                                          1. Difracción
                                                                  2. Interferecias
                                                                    1. Dos ondas
                                                                      1. Mismo sitio
                                                                        1. Superponen
                                                                    Show full summary Hide full summary

                                                                    Similar

                                                                    LOS INTERVALOS
                                                                    elbaul de7notas
                                                                    Historia Clínica
                                                                    Karewit Romero
                                                                    Test 1 Teoría del Control fiscal
                                                                    Vichuver2014
                                                                    Test Proyectivos
                                                                    Karewit Romero
                                                                    REDES
                                                                    al211527
                                                                    Examen Introducción a la teología
                                                                    Radioamanecer On
                                                                    consuelo carolina ubaque
                                                                    carou199013
                                                                    Inventario
                                                                    itu_maite
                                                                    SISTEMA OPERATIVO
                                                                    natividadlliquin