null
US
Sign In
Sign Up for Free
Sign Up
We have detected that Javascript is not enabled in your browser. The dynamic nature of our site means that Javascript must be enabled to function properly. Please read our
terms and conditions
for more information.
Next up
Copy and Edit
You need to log in to complete this action!
Register for Free
5311808
EQUAÇÕES
Description
DSJADJASJDAJS
No tags specified
uashdua dhasudhaus hduashda
dasdsadas dsadasdas
dasdsadasdas dsadasdasd dasdasdas
Mind Map by
Matheus Araujo8933
, updated more than 1 year ago
More
Less
Created by
Matheus Araujo8933
almost 10 years ago
39
0
0
Resource summary
EQUAÇÕES
Equações de 2º grau
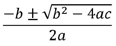
bhaskara
Regra dos sinais
Annotations:
sinais iguais ficam = + sinais diferentes ficam = -
TIRAR A RAIZ
MULTIPLICAÇAO
DIVISÃO
SOLUÇÃO
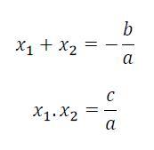
soma e produto
SOLUÇÃO
EQUAÇÃO IRRACIONAL
ELEVAR AMBOS OS LADOS AO QUADRADO
TIRAR A RAIZ
SOLUÇÃO
EQUAÇÃO FRACIONAL
MMC
REGRA DOS SINAIS
MULTIPLICAÇÃO
Media attachments
4a116176-8104-4c27-a764-4a6dd76954f9 (image/jpg)
ab4356f9-27c7-46c4-9d05-ad2de9ba4ba2 (image/jpg)
Show full summary
Hide full summary
Want to create your own
Mind Maps
for
free
with GoConqr?
Learn more
.
Similar
EQUAÇÕES
LEONARDO VIANA PEREIRA
Equações de 2º grau
Amanda Lago
Equações polinomiais
Karina Abreu
Equação de 1º grau
Bruno Fernandes3682
Equação
Deivison Takatu
Equações de Segundo Grau
Carlos Hirsch
PROPRIEDADES DA IGUALDADE
Roney Lima do Nascimento
MATEMÁTICA EQUAÇÕES DO 1º GRAU
Alves Fernandes
equações de 1⁰ e 2⁰ grau
Lu B
Equações de Física
Marina Valenzuela
Equações de 2º Grau
Célia Silva
Browse Library