Óptica Geométrica

Description

Mariana Tellez 11-01
Veruzcka Pérez
Mind Map by Veruzcka Pérez, updated more than 1 year ago
Veruzcka Pérez
Created by Veruzcka Pérez over 9 years ago
46
0

Resource summary

Óptica Geométrica
  1. REFLEXIÓN Y REFRACCIÓN EN UNA SUPERFICIE PLANA
    1. Reglas de signos
      1. Regla de signos para la distancia de objeto:
        1. Es cuando el objeto está del mismo lado de la superficie reflectante o refractiva que la luz entrante, la distancia de objeto s es positiva; en caso contrario, es negativa.
        2. Regla de signos para el radio de curvatura de una superficie esférica:
          1. Es cuando el centro de curvatura C está del mismo lado que la luz saliente, el radio de curvatura es positivo; en caso contrario, es negativo.
          2. Regla de signos para la distancia de imagen:
            1. Es cuando la imagen está del mismo lado de la superficie reflectante o refractiva que la luz saliente, la distancia de imagen sr es positiva; en caso contrario, es negativa.
          3. Imagen de un objeto extenso: Espejo plano
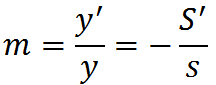
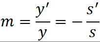
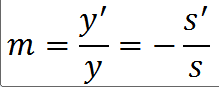
            1. Tanto en la reflexión como en la refracción, el aumento lateral m se define como la razón de la altura de la imagen yr con respecto a la altura del objeto y. Cuando a es positivo, la imagen es derecha; y cuando m es negativo, la imagen es invertida.
                1. De esta manera, en el caso de un espejo plano el aumento lateral m es la unidad. Cuando nos miramos en un espejo plano, nuestra imagen es del mismo tamaño que nuestro cuerpo.
            2. Un objeto es cualquier cosa desde donde se irradian rayos de luz.
                1. Formación de imágenes por espejo planos
                  1. Se producen por la reflexión de la luz
                      1. La figura muestra dos rayos que divergen a partir de un punto de objeto P situado a una distancia s a la izquierda de un espejo plano. Llamamos a s la distancia de objeto. El rayo PV es perpendicular a la superficie del espejo, y regresa siguiendo su trayectoria original.
                2. REFLEXIÓN EN UNA SUPERFICIE ESFERICA
                  1. Punto focal y distancia focal
                    1. Cuando el punto del objeto P está muy lejos del espejo esférico, los rayos entrantes son paralelos.
                        1. Los rayos divergentes del punto focal se reflejan para formar rayos paralelos salientes
                          1. Distancia focal de un espejo esferico
                            1. Todos los rayos paralelos incidentes en un espejo esférico se reflejan a través el punto focal
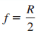
                        2. Reflexión en una superficie esférica
                          1. Un espejo esférico está caracterizado por su radio de curvatura R. En el caso de los espejos esféricos solo existe un punto focal F=F´=R/2 cuya posición coincide con el punto medio entre el centro del espejo y el vértice del mismo. Se encontrará a la izquierda del vértice para los espejos cóncavos y a la derecha para los espejos convexos.
                              1. El aumento del espejo será A =y´/y y dependerá de la curvatura del espejo y de la posición del objeto.
                          2. Imagen de un objeto extenso: Espejo esférico
                              1. Aumento lateral espejo esferico
                                1. Si m es positiva, la imagen es derecha en comparación con el objeto; si m es negativa, la imagen es invertida con respecto al objeto,
                                2. Espejos convexos
                                  1. Su formula es:
                                      1. Su aumento lateral es
                                    1. Formación de imagen por un espejo convexo.
                                      1. Construcción para determinar el aumento de una imagen formada por un espejo convexo
                                        1. Construcción para determinar la posición de una imagen formada por un espejo convexo
                                        2. El punto focal y la distancia focal de un espejo convexo
                                          1. Los rayos dirigidos hacia el punto focal virtual son paralelos al eje después de la reflexión
                                            1. Rayos paraxiales que inciden en un espejo esférico convexo divergen a partir de un punto focal virtual
                                        3. REFRACCIÓN EN UNA SUPERFICIE ESFERICA
                                          1. Imagen de un objeto puntual: Superficie refractiva esférica
                                            1. una superficie esférica de radio R forma una interfaz entre dos materiales con índices de refracción diferentes na y nb
                                                1. Construcción para hallar la posición del punto de imagen Pr de un objeto puntual P, formado por refracción en una superficie esférica. Los materiales a la izquierda y a la derecha de la interfaz tienen índices de refracción na y nb, respectivamente. En el caso que aquí se muestra, na , nb.
                                          2. LENTES DELGADAS
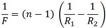
                                            1. Ecuación del fabricante de lentes
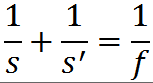
                                                1. Es la relación entre distancia de objeto, distancia de imagen y distancia focal para una lente delgada
                                                2. Imagen de un objeto extenso: Lentes convergentes
                                                  1. una lente convergente forma imágenes de los objetos extensos
                                                      1. determinar la posición y el aumento lateral de una imagen formada por una lente convergente delgada.
                                                        1. El rayo QA, paralelo al eje óptico antes de la refracción, pasa por el segundo punto focal F2 después de refractarse
                                                          1. El rayo QOQ' pasa directamente por el centro de la lente sin desviarse,
                                                          2. aumento lateral, lente delgada
                                                            1. El signo negativo indica que, cuando s y s' son ambas positivas, la imagen es invertida, y los signos de y y yr son opuestos
                                                              1. relación objeto-imagen, lente delgada
                                                          3. Propiedades de las lentes
                                                            1. Lentes divergentes
                                                                1. La distancia focal de una lente divergente es una cantidad negativa
                                                                  1. Los puntos focales de una lente negativa están invertidos en relación con los de una lente positiva
                                                                      1. Tipos de lentes
                                                                  2. Lente convergente
                                                                      1. Una lente de la forma que se muestra en la figura tiene la propiedad de que, cuando un haz de rayos paralelos al eje atraviesa la lente,
                                                                        1. los rayos convergen en un punto F2 y forman una imagen real en ese punto.
                                                                        2. Tipos de lentes
                                                                    1. El dispositivo óptico más conocido y de uso más extendido es la lente, que es un sistema óptico con dos superficies refractivas.
                                                                      1. Métodos gráficos para lentes
                                                                        1. Lentes convegentes
                                                                          1. Lentes convegentes
                                                                          2. Lentes divergentes
                                                                        2. CÁMARAS FOTOGRAFICAS
                                                                          1. Una cámara fotográfica forma una imagen real, invertida y reducida del objeto que se fotografía sobre una superficie sensible a la luz
                                                                            1. La cantidad de luz que incide en la superficie se regula mediante la rapidez del obturador y la abertura
                                                                              1. La intensidad de esta luz es inversamente proporcional al cuadrado del número f de la lente
                                                                            2. Lentes zoom y proyectores
                                                                              1. Una lente zoom simple emplea una lente convergente y una lente divergente en sucesión
                                                                                1. Lente zoom representativa para cámara réflex de objetivo único (lente simple); contiene doce elementos dispuestos en cuatro grupo
                                                                                  1. Si se desplazan las dos lentes separándose, la combinación se comporta como una lente con distancia focal corta
                                                                                    1. Cuando las dos lentes están cerca entre sí, la combinación se comporta como una sola lente con distancia focal larga.
                                                                                  2. Lentes de cámara: Distancia foca
                                                                                    1. depende del tamaño de la película y del ángulo de visión deseado
                                                                                  3. EL OJO
                                                                                    1. Trastornos de la vision
                                                                                      1. astigmatismo
                                                                                          1. Corrección
                                                                                            1. la superficie de la córnea no es esférica, sino que tiene una curvatura más pronunciada en un plano que en otro
                                                                                          2. ojo Hipermetriope
                                                                                              1. Se corrige así
                                                                                            1. Ojo Miope
                                                                                                1. se corrige así
                                                                                              1. En el ojo, la refracción en la superficie de la córnea forma una imagen real en la retina.
                                                                                                1. El ajuste por las diversas distancias de objeto se lleva a cabo oprimiendo el cristalino (la lente) para que se arquee y, de este modo, disminuya su distancia focal.
                                                                                            2. MICROSCOPIOS Y TELESCOPIOS
                                                                                              1. Telescopio
                                                                                                1. El telescopio funciona con base en el mismo principio, pero el objeto está muy alejado. En un telescopio de reflexión, la lente objetivo se sustituye por un espejo cóncavo, el cual elimina las aberraciones cromáticas
                                                                                                2. Microscopio
                                                                                                  1. En un microscopio compuesto, la lente objetivo forma una primera imagen en el cañón del instrumento, y el ocular forma una imagen virtual final, que suele hallarse en el infinito, de la primera imagen.
                                                                                                3. LA LENTE DE AUMENTO SIMPLE
                                                                                                  1. La lente de aumento simple crea una imagen virtual, cuyo tamaño angular ur es mayor que el tamaño angular u del objeto mismo a una distancia de 25 cm
                                                                                                    1. El aumento angular M de una lente de aumento simple es la razón del tamaño angular de la imagen virtual con respecto al tamaño angular del objeto a esta distancia.

                                                                                                  Media attachments

                                                                                                  Show full summary Hide full summary

                                                                                                  Similar

                                                                                                  Método científico
                                                                                                  Carlos Eduardo Solano González
                                                                                                  Cinemática
                                                                                                  maya velasquez
                                                                                                  La Ley de la Gravedad
                                                                                                  maya velasquez
                                                                                                  Segunda Ley de la Termodinámica
                                                                                                  Virginia León
                                                                                                  Fuerzas, leyes de Newton y ley de la gravitacion universal.
                                                                                                  Omar Vazquez Flores
                                                                                                  Mapa Mental Fisica
                                                                                                  Daniela QuinTero
                                                                                                  Métodos gráficos para sistemas de fuerzas
                                                                                                  Andres Alberto Dranuta
                                                                                                  FUENTES DE ENERGÍA
                                                                                                  Alba Guzman
                                                                                                  Ramas de la hidráulica
                                                                                                  johanna jimenez
                                                                                                  ELECTROMAGNETISMO
                                                                                                  sanli_marzer