F324- Rings, Polymers & Analysis

Description

Mind Map on F324- Rings, Polymers & Analysis, created by sundus.student on 18/12/2014.
sundus.student
Mind Map by sundus.student, updated more than 1 year ago
sundus.student
Created by sundus.student about 11 years ago
37
1

Resource summary

F324- Rings, Polymers & Analysis
  1. BENZENE
    1. Why does benzene follow the delocalised model & not the Kekule' structure?
      1. 1- Bond Length: The bond length of a single bond is longer than a double bond, however in benzene all the bond lengths are equal due to the delocalised electrons distributed around the whole structure
        1. 2- Kekule suggested the benzene reacts in a similar way to alkenes but under normal conditions benzene doesn't decolourise bromine water. Also benzene undergoes substitution reactions and not addition
          1. 3- the enthalpy change of hydrogenation is more stable in benzene than alkenes due to the delocalised electron ring distributed around the whole structure
      2. Reactions of benzene:
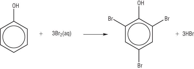
        1. PHENOL
          1. Why does phenol react more readily than benzene?
            1. 1- In phenol electron density increases (oxygen)
              1. 2- The electrophile attacking Phenol becomes polarised (due to oxygen)
                1. 3- The delocalised electron ring also pulls the oxygen electrons into the delocalised electron cloud
                  1. 4- Phenols undergo substitution reactions easier due to the lone pair on the oxygen
            2. Reactions of phenols
                1. uses of phenols:
                  1. Production of plastics, antiseptics, disinfectants, resins for paints & varnishes.
                2. Carbonyl's
                  1. Aldehydes are prepared from the distillation (oxidation) of primary alcohols using acidified potassium dichromate.
                    1. testing for Primary, secondary and tertiary alcohols: using acidified potassium dichromate: the color change should be from orange to green
                    Show full summary Hide full summary

                    Similar

                    The Weimar Republic, 1919-1929
                    shann.w
                    Globalisation Case Studies
                    annie
                    Random German A-level Vocab
                    Libby Shaw
                    Sociology: Crime and Deviance Flash cards
                    Beth Morley
                    Functionalist Theory of Crime
                    A M
                    Realist Theories
                    A M
                    Ecosystems
                    Jessica Phillips
                    Control, Punishment & Victims
                    A M
                    Ethnicity, Crime & Justice
                    A M
                    AQA A2 Biology Unit 4: Populations
                    Charlotte Lloyd
                    AQA Physics: A2 Unit 4
                    Michael Priest