Biotechnology and Gene Technology

Description

Mind Map of key points for Module 2 of Unit 5 OCR Biology A Level for 2015.
Jelly Bean
Mind Map by Jelly Bean, updated more than 1 year ago More Less
tastymemes
Created by tastymemes over 10 years ago
Jelly Bean
Copied by Jelly Bean over 10 years ago
10
0

Resource summary

Biotechnology and Gene Technology
  1. Vegetative propagation
    1. Micropropagation by Callus Tissue Culture
      1. 1) Small piece of tissue is taken from plant to be cloned, usually from shoot tip, called an explant.
        1. 2) Cells divide but do not differentiate, forming a mass of undifferentiated cells called a Callus.
          1. 3) Single callus cells removed and moved to a nutrient medium (rich in minerals such as nitrates, etc.)
            1. 4) Clones moved to a greenhouse, then outdoors.
            2. Example: English Elm - produces new growth in the form of basal sprouts, which grow from meristem tissue in the trunk close to the ground,
              1. The production of new structures in an organism that can grow into new individual structures.
              2. Artificial Cloning
                1. Splitting embryos
                  1. 1) In vitro fertilisation. Grow in vitro to 16 cellembryo.
                    1. 2) Split embryo into several segments.
                      1. 3) Implant into surrogate mother.
                        1. 4) All offspring are genetically identical (clones) but not so to their parents.
                        2. Nuclear transfer, using enucleated eggs
                          1. 1) Remove mammary cells from udder and ovum and enucleate ovum.
                            1. 2) Transplant nucleus from mammary cell into ovum and stimulate with electro-fusion.
                              1. 3) Insert into surrogate mother. Offspring will be identical to sheep from whom the mammary cell (and therefore nucleus) was taken.
                              2. Defintion: Totipotent Stem Cells - e.g. embryonic cells, capable to differentiating into any type of adult cell found in the organism.
                              3. Defintion: Biotechnology - The industrial use of organisms/parts of them to produce food, drugs, and other products.
                                1. Microorganisms in Biotechnology
                                  1. Advantages
                                    1. Grow rapidly in favourable conditions
                                      1. Can be genetically engineered to produce specific products.
                                        1. Grow well at relatively low temps.
                                          1. Tend to produce products more pure than chemical processes.
                                            1. Can be grown on nutrients otherwise toxic or useless to humans.
                                            2. Batch Fermentation
                                              1. Stirrer: Exposes reactants to fresh O2 by homogenising the mixture.
                                                1. Water Jacket: Maintains a steady, desired temperature to stop enzymes from denaturing.
                                                  1. Acid/Alkali tube: Maintains pH to prevent denaturing.
                                                  2. Continous Fermentation: Substrates are constantly added, product constantly removed.
                                                    1. Example: Fusarium - fungi that produces Quorn mycoprotein
                                                    2. Metabolites: products of metabolic reactions.
                                                      1. Primary: normal product produced all the time, e.g. CO2, lactic acid, urea.
                                                        1. Secondary: Not normally produced. Produced during stress.
                                                          1. Example: Penicillin - Produced by Penicillium notatum to kill bacteria who are competing for a limited resource. In production, penicillium is allowed to reproduce to a large mass and then substrate is removed.
                                                        2. Definition: Aspepsis - absence of unwanted microorganisms
                                                          1. Aseptic technique: Any technique/measure taken to ensure unwanted microorganisms do not contaminate culture/products.
                                                      2. Immobilised enzymes
                                                        1. Definition: Immobilising - A method by which to separate the product from the enzyme because enemy could be viewed as a contaminant, and this allows it to be reused.
                                                          1. Adsorption: Weak attachment to an immobilising support, e.g. clay due to ionic and hydrophobic interactions. Active site is not changed due to bonding. Can be very effective unless leakage occurs.
                                                            1. Covalent Bonding: Stronger covalent bonding to a support (e.g. clay particles). Active site not affected and a limited quantity can be held. Leakage is rare.
                                                              1. Entrapment: Enzyme trapped in a gel bead. Active sites unaffected by less easily accessible due to trapping barrier, thus reaction rates can be lowered.No leakage. Insulates the enzyme from denaturing due to high temps or pH changes.
                                                                1. Membrane Seperation: Enzyme and substrate separated by a partially permeable membrane, across which the enzyme cannot move, but the substrate can. The substrate diffuses over and is catalysed to form the product, and thus diffuses back. Product is washed away with distilled water so all of product will diffuse back.
                                                                  1. Advantages
                                                                    1. (enzyme) can be re-used so reduces cost
                                                                      1. product, pure(r) / uncontaminated
                                                                        1. reduced downstream processing costs
                                                                          1. reaction, can be faster / have higher yield , because can be done at higher temperature
                                                                            1. (immobilised enzyme) works at high(er) temperature
                                                                              1. (immobilised enzyme) works in changed pH
                                                                            2. The Genome
                                                                              1. Definiton: Genomics - The study of the whole set of genetic information in the form of DNA sequences that occur in the cells of organisms in a particular species.
                                                                                1. How DNA is prepared for sequencing.
                                                                                  1. 1) Homogenise tissue sample to increase surface area.
                                                                                    1. 2) Add detergents to break down cell membranes.
                                                                                      1. 3) Add protease to remove histone proteins and leave 'naked' DNA.
                                                                                        1. 4) DNA is isolated from mix by precipitation with ethanol.
                                                                                          1. 5) DNA stands re-suspended in aq. pH buffered medium.
                                                                                            1. 6) DNA cut up by restriction enzymes. Different enymes cut at different base sequences called restriction sites, of which there are 2 main types: Blunt ends, and sticky ends, which are the ones used in genetic engineering.
                                                                                              1. Restriction enzymes: Also called restriction endonucleases. They are produced by bacteria to break up virus DNA that is injected into them.
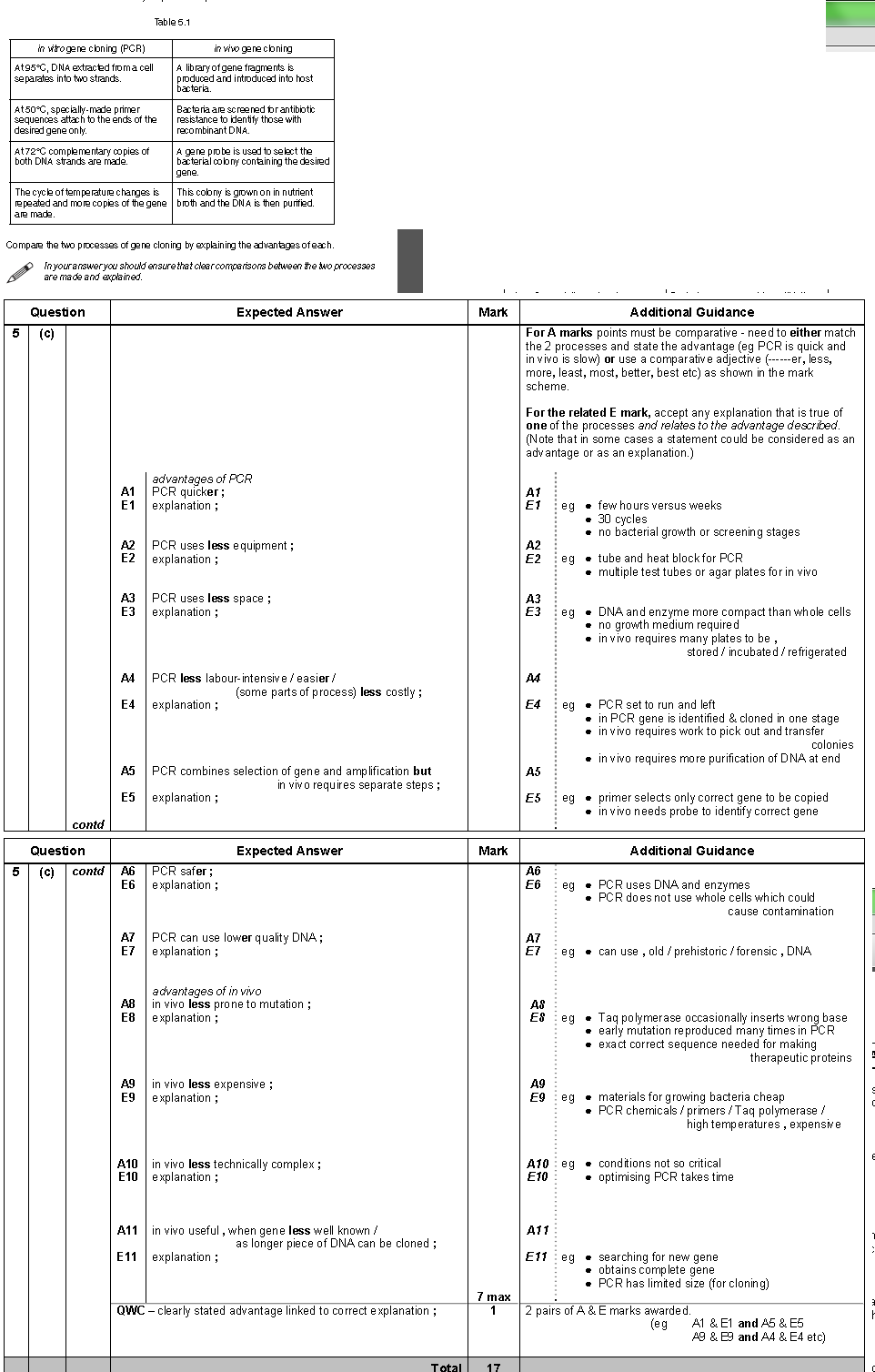
                                                                                            2. PCR: Polymerase Chain Reaction
                                                                                              1. Used to make multiple copies of a (shorter) section of DNA. It is artificial DNA replication and is used to amplify DNA samples.
                                                                                                1. Reaction mixture contains
                                                                                                  1. Sample of DNA to be amplified
                                                                                                    1. Excess of primers (more chance of bonding to unzipped DNA strand)
                                                                                                      1. DNA Polymerase
                                                                                                        1. The 4 deoxyribose nucleotides
                                                                                                          1. Definition: Primers - short, single stranded sequences of DNA, around 10-20 bases, which bind to a section of DNA, as DNA polymerase cannot bind directly to single stranded DNA fragments.
                                                                                                          2. Process
                                                                                                            1. 1) Heated to 95 degrees, breaking the H bonds and separating the DNA strands.
                                                                                                              1. 2) Cooled to 55 degrees - primers added and they bond to complimentary site on DNA (placed upstream and downstream of target DNA section)
                                                                                                                1. 3) Heated to 72 degrees, the optimum temperature for Taq Polymerase to build complimentary strands of DNA, binding to the primers and starting from there, working along to the end of the DNA strand, This is repeated in cycles.
                                                                                                                  1. Taq Polymerase: From bacteria that naturally exist in hot springs, therefore their enzymes have many disulphide bridges, preventing them from denaturing at high temperatures (known as thermophilic)
                                                                                                                2. Sequencing using modified PCR: (Interrupted PCR and Electrophoresis)
                                                                                                                  1. Interrupted PCR
                                                                                                                    1. 1) Some of the free deoxyribonucleotides have fluorescent dyes attached (one colour specific to each type).
                                                                                                                      1. 2) These nucleotides are modified and if they are added to the growing chain, the DNA polymerase is thrown off and the strand ends,
                                                                                                                        1. 3) As the reaction proceeds, the fragments produced vary in size. These strands are then run through a machiene where a laser reads the colour sequence from smallest to largest strand, allowing the sequence of colours (and therefore the bases) to be displayed.
                                                                                                                        2. Electrophoresis
                                                                                                                          1. Using electricity to separate differently sized fragments of DNA.The samples of DNA are placed on an agarose gel at the negative anode end. Phosphate groups have a charge of three minus, therefore the DNa fragments will move to the positive cathode. Smaller fragments are more mobile and therefore move faster. Researches add a tracking dye, giving blue DNA.
                                                                                                                          2. Southern Blotting
                                                                                                                            1. To make a replica of DNA fragments of interest to do further tests on without destroying the original.
                                                                                                                              1. An absorbant surface (e.g. Nylon) is put on the agarose gel after electrophoresis to draw up a small amount of the fragments.
                                                                                                                              2. DNA Probes
                                                                                                                                1. Single-stranded, short segments of DNA with a known sequence. Bind to complementary sections.
                                                                                                                                  1. The DNA on an absorbent surface is put into a basic solution to unzip it and make it single stranded by disrupting the H bonds between bases. DNA probes then used to identify target sequences of DNA/Gene.
                                                                                                                                    1. This can be used to diagnose diseases by comparing healthy and unhealthy DNA samples (Microarray).
                                                                                                                            2. Bacterial Artificial Chromosome (BACs)
                                                                                                                              1. Used to make 'clone libraries' - multiple copies of (lager) sections of DNA.
                                                                                                                                1. A fertility plasmid from bacterium, which has been genetically modified with DNA from another organism. It will then make multiple copies by replicating.
                                                                                                                                2. Definition: Recombiant Gene Technology - Processes involving combining DNA from different organisms/sources in a single organism.
                                                                                                                                  1. Obtaining the gene to be engineered.
                                                                                                                                    1. 1) mRNA produced from transcription of the gene can be obtained from cells where that gene is expressed, e.g. insulin from the B cells of the islet of Langerhans.
                                                                                                                                      1. 2) Gene can be synthesised using an automated polynucleotide sequencer.
                                                                                                                                        1. Placing gene in a vector.
                                                                                                                                          1. The gene can be sealed into a bacterial plasmid using the enzyme DNA ligase. It can also be sealed into virus genomes or yeast cell chromosomes.
                                                                                                                                            1. Getting the gene into the recipient cell
                                                                                                                                              1. Once packaged in a vector it is often part of a large molecule that doesn't easily cross the membrane to enter the recipient cell.
                                                                                                                                                1. Resulting DNA is called Recombiant DNA
                                                                                                                                                2. Methods
                                                                                                                                                  1. Electroportation: high voltage pulse applied to disrupt the membrane.
                                                                                                                                                    1. Microinjection: DNA is injected using a very fine micropipette into the host cell nucleus
                                                                                                                                                      1. Viral Transfer: Uses virus's mechanism for infecting cells by injecting DNA directly.
                                                                                                                                                        1. Liposomes: DNA is injected in lipid molecules - fat soluble so they can diffuse across lipid membrane.
                                                                                                                                                  2. Genetic engineering and bacteria
                                                                                                                                                    1. Any organism that contains DNA added to its cells as the result of genetic engineering is described as transgenic.
                                                                                                                                                      1. Definiton: Bacterial Conjugation - a process where genetic material may be exchanged (N.B. only plasmids).
                                                                                                                                                        1. If large quantities of recombinant plasmids are added to a mix of bacteria, some will take them up. The addition of calcium salts and heat shock increases the rate at which they are taken up. However it is very inefficient; less than 0.25% take up the plasmid.
                                                                                                                                                          1. Heat shock: Temperature is lowered to freezing, then quickly raised to forty degrees.
                                                                                                                                                            1. Bacteria are known as transformed bacteria after taking up recombinant plasmid.
                                                                                                                                                            2. Example: Insulin
                                                                                                                                                              1. 1) Insulin: a polypeptide containing 51 amino acids. Scientists used specialised centrifugation to obtain the mRNA for it.
                                                                                                                                                                1. 2) Used reverse transcriptase to synthesise a complimentary DNA strand. Adding DNA polymerase and nucleotides to this produced a second strand, thus giving us a copy of the original gene, called a cDNA gene.
                                                                                                                                                                  1. 3) Plasmids cut upon with restriction enzyme. Some take up the gene, DNA ligase seals the plasmid, giving us a recombinant plasmid. Bacteria is then put onto an agar plate.
                                                                                                                                                                    1. 4) Plasmids with the insulin gene are identified using radio-labelled antibodies that bind specifically to insulin.
                                                                                                                                                                      1. N.B. Modern methods work differently, using genetic markers.
                                                                                                                                                                        1. 1) Original plasmids are chosen because they contain genes that make them resistant to two different antibiotic chemicals. These genes are genetic markers.
                                                                                                                                                                          1. 2) Plasmids are cut by restriction enzyme that has its restriction site on one of the resistance genes. If required gene is taken up, one of the resistance genes will be broken up and won't work, whilst the other will.
                                                                                                                                                                            1. 3) Replica plating is then used. This is where the bacteria grow and form colonies. These are tested on materials made with the chemicals tied into the resistant genes.
                                                                                                                                                                              1. 4) By seeing which bacteria colonies grow on one growth material and not the other, we know which have taken up the required genes.
                                                                                                                                                                                1. 5) The transformed bacteria are then produced on a large scale.
                                                                                                                                                                          2. Example: Golden Rice.
                                                                                                                                                                            1. Vitamin A deficiency can cause irreversible blindness, and only comes from animal sources in the diet. However, it can be derived from a precursor called beta-carotene, which is converted into Vitamin A in the gut.
                                                                                                                                                                              1. Rice plants (Oryza Sativa) contain genes that come for Beta-carotene in the grain. However, these genes are switched off. Thus genetic engineering is used to insert 2 genes into the rice genome to activate the metabolic pathway in the endosperm cells.
                                                                                                                                                                                1. These genes code for two enzymes.
                                                                                                                                                                                  1. Phytopene Synthetase (extracted from daffodil plants)
                                                                                                                                                                                    1. Converts precursor molecules into Phytopene.
                                                                                                                                                                                    2. Crt 1 enzyme (extracted from soil bacterium Erwinia Uredova)
                                                                                                                                                                                      1. Converts the Phytopene produced by Phytopene Synthetase into Lycopene.
                                                                                                                                                                                        1. Enzymes already present into the rice endosperm then convert Lycopene to a range of carotenoid molecules, including Beta-carotene.
                                                                                                                                                                                          1. Golden Rice (TM) is said to be biofortified because it contains higher concentrations of a particular nutrient. Rice was then cross-bred with natural rice varieties to increase beta-carotene conc.s further.
                                                                                                                                                                              2. Gene Therapy
                                                                                                                                                                                1. Somatic Cell Gene Therapy (Body Cells)
                                                                                                                                                                                  1. Gene therapy by adding genes (augmentation). Some disorders are caused by faulty alleles; by engineering a functional copy into the relevant specialised cells, the functional gene product can be produced.
                                                                                                                                                                                    1. N.B. Only lasts as long as cell lives.
                                                                                                                                                                                    2. Can also kill cells by making specific cells (e.g. cancerous ones) express genes that produce antigens that lead to their being attacked by the immune system.
                                                                                                                                                                                      1. Can also silence cells, by iIntroducing interference RNA (RNAi) into cells. this is complimentary to mRNA of a specific gene, which it binds to, making it double-stranded and therefore unable to be translated, causing the mRNA to be broken down.
                                                                                                                                                                                      2. Germline Cell Gene Therapy (sperm/egg/zygote)
                                                                                                                                                                                        1. Means all body cells will contain new gene. There are concerns about it inadvertently causing a new disease and the lack of possible consent and interference with evolution. Currently illegal.
                                                                                                                                                                                      3. Defintion: Xenotransplant - surgical procedure in which tissue/whole organs are transferred from one species to another.
                                                                                                                                                                                        1. Example: Pig hearts
                                                                                                                                                                                          1. Genetically modified to prevent rejection: lack the enzyme a-1,3-transferase, which is needed to make antigens on the pig cells that the antibodies involved in hyper-acute rejection bind to.
                                                                                                                                                                                            1. Also insert the human gene for nucleotidase enzyme - regulates the immune response.
                                                                                                                                                                                              1. Problems
                                                                                                                                                                                                1. Size of Organ
                                                                                                                                                                                                  1. Animal Rights
                                                                                                                                                                                                    1. Lifespan of organ/animal
                                                                                                                                                                                                      1. Religious beliefs
                                                                                                                                                                                                        1. Body Temperature of pigs is 39 degrees.
                                                                                                                                                                                                          1. Possible disease transfer
                                                                                                                                                                                                        2. Defintion: Allotransplantation - refers to transplantation between animals of the same sepcies.
                                                                                                                                                                                                      2. Key Exam Questions Mark Schemes
                                                                                                                                                                                                        1. PCR vs. BAC
                                                                                                                                                                                                          1. Importance of Aspesis
                                                                                                                                                                                                            1. Gene Vectors
                                                                                                                                                                                                          Show full summary Hide full summary

                                                                                                                                                                                                          Similar

                                                                                                                                                                                                          GCSE Biology B2 (OCR)
                                                                                                                                                                                                          Usman Rauf
                                                                                                                                                                                                          B7 Quiz - The Skeleton, Movement and Exercise
                                                                                                                                                                                                          Leah Firmstone
                                                                                                                                                                                                          B7.1-3 - Peak Performance
                                                                                                                                                                                                          franimal
                                                                                                                                                                                                          Cell Structure
                                                                                                                                                                                                          megan.radcliffe16
                                                                                                                                                                                                          Unit 1 flashcards
                                                                                                                                                                                                          C R
                                                                                                                                                                                                          Biology- Genes, Chromosomes and DNA
                                                                                                                                                                                                          Laura Perry
                                                                                                                                                                                                          Biology- Genes and Variation
                                                                                                                                                                                                          Laura Perry
                                                                                                                                                                                                          Biology B1.3
                                                                                                                                                                                                          raffia.khalid99
                                                                                                                                                                                                          F211- Module 1 Cells, exchange and transport
                                                                                                                                                                                                          eilish.waite
                                                                                                                                                                                                          F211 Cells Keywords and Info
                                                                                                                                                                                                          Gurdev Manchanda
                                                                                                                                                                                                          Ecosystems
                                                                                                                                                                                                          Jessica Phillips