Biology

Description

Biology
seonju Jung
Mind Map by seonju Jung, updated more than 1 year ago
seonju Jung
Created by seonju Jung about 10 years ago
17
0

Resource summary

Biology
  1. Microscope
    1. Micro "tiny" Scope "to view"
      1. Identity and compare species. Measure size and compare
        1. Definition: clarity; how clear the specimen appears. Magnification: amount of engagement of an image. Orientation: way in which something appears to be directed.
          1. Depth of Field: refers to layers, 3-D effect that is viewable by changing fine adjustment under high power. Width of Field: distance across the diameter of your field of view, used to estimate the size of a specimen.
            1. Micrometer= metric unit of measure. 1millimeter= 1,000 micrometer
              1. Objective: degree of magnification. Low, Med, High.
              2. Steps of storing a Microscope
                1. Steps to focusing a Microscope.
                  1. 1) Turn light on and leave it on. 2) Align the slide on the stage and stage with the stage clips. 3)Turn the ocular towards you. 4) Bring your specimen into view, and center it in your field. 5) Adjust the diaphragm for the "best" lighting. 6) Sharpen your image with fine adjustment. 7) Using the revolving nose piece, turn to your medium power to objective. 8) Using the coarse adjust. sharpen your image. 9) Turn the high power objectives into place using the nose piece. Using only the fine adjustment knob, fine tune your image. 10) May change light for a better image.
                  2. 1) Turn off light and allow to sit for 5 min to cool down. 2) Turn the stage all the way down. 3) Return objective to low. 4) Remove slide. Rest the stage clips on the stage. 5) Loosely wrap and secure the electrical cord. 6) Turn the ocular over the body tube. 7) Cover the microscope with the jacket. 8) Carry the microscope with two hands. 9) Place the microscope in the closet with the ocular pointing out.
                    1. Mag LP/ Map HP = WFHP/WFLP
                      1. http://www.cas.miamioh.edu/mbi-ws/microscopes/types.html
        2. BIochemistry
          1. pertaining to life
            1. Proteins
              1. Carbonhydrates
                1. Lipuds
                  1. The study of matter and tge changes in matter
                    1. Nuclei Acids'
                      1. Macromolecuels
                        1. Polymer: Very large molecules made from individual pieces
                          1. Moermoer AKA: Subunit'
                            1. What do monomers look like?
                              1. Hydrocarbon.
                                1. Unsaturated
                                  1. Saturated
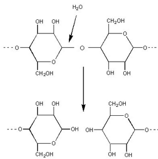
                              2. Hydrolysis:Breaks apart the polymer into monomers.
                                1. Water needed to break the bond
                                  1. 1, Water molecules is inserted into Oxygen bridge, breaking bond.
                              3. Dehydration Synthesis
                                1. AKA: Polymerization
                                  1. Links the monomers together to form the polymer
                                    1. Produces water
                                  2. 1. Water molecule is removed from adjacent OH groups.
                                    1. 2. Remaining oxygen joins the 2 monomers with an oxygen bridge.
                                  3. Molecular Structure
                                    1. Branch
                                      1. Chain
                                        1. Ring
                                        2. Substituted Hydrocarbon
                                          1. Hydroxyl-OH. Add-ol suffix to name. Creat an alcohol. Used to disinfect or as a fuel.
                                            1. Carbonyl Group- COOH. Creates a carboxylic acid or organic acid. Found in citrus fruits, vinegar(ethnic acid).
                                              1. Amine-NH2. Includes novocaine, painkiller
                                              2. Carbonhydrates
                                                1. Monomer: A monosaccharide. More than one monomer: Disaccharide.
                                                  1. Polymer: Polysaccharide.
                                                    1. Proteins
                                                      1. Monomer: Amino Acid
                                                        1. Lipids
                                                          1. Subunit(monomer): fatty acids glycerol.
                                                            1. Polymers: Triglyceride and phospholipid.
                                                              1. Nucleic Acids
                                                                1. Monomer: Nucleotide
                                                                  1. Polymer: DNA and RNA
                                                            2. Enzyme
                                                            3. Cell Structure
                                                              1. Animal Cell
                                                                1. Funtions
                                                                  1. 1) Chloroplast: controls chlorophyll to help cell trap light to make food. 2) Endoplasmic Reticulum: tube network in cytoplasm where cell substances are made. 3) Nuclear Membrane: controls movement of materials in and out of the nucleus. 4) Nucleus: controls cell activities. 5) Cytoplasm: contains cell materials. 6) Cell wall: surrounds plant cell: gives shape and support to the cell. 7) Ribosomes: proteins are made in these. 8) Mitochondria: rod-shaped bodies that release energy for cell use. 9) Golgi Bodies: bodies that store and release chemicals for cell use. 10) Cell Membrane: controls movement of materials in and out of the cell. 11) Chromosomes: holds the code that controls cell. 12) Vacuole: stores water and dissolved materials in plant cells. 12) Smooth E.R: creates and stores lipids (steroids). 13) Mitosis:: contains enzymes. 14) Vesicle: used to transport materials. 15) Flagella: whip-like tail.
                                                                  2. Does not contain cell wall.
                                                                    1. Contain centrioles
                                                                    2. Plant Cell
                                                                      1. FUntions
                                                                        1. COntains Vacuole and chloroplasts.
                                                                        2. Prokaryotic and Eukaryotic
                                                                          1. 5 Kingdom
                                                                        3. Cell Transport Mechanism
                                                                          1. Moving molecules across the cell membrane.
                                                                            1. Passive Transport: Does not expend energy.
                                                                              1. Diffusion; Movement of molecules is random. When they bump each other, they push each other away. When they are highly concentrated, they bump into each other more often.
                                                                                1. High concentration to low concentration. DOWN a concentration gradient. "DOWN THE HILL"
                                                                                  1. When molecules have reached equal concentrations in both locations, diffusion ends - Equilibrium.
                                                                                    1. Molecules continue moving, but they move in both directions equally. No Net Change.
                                                                                  2. Osmosis: moves water molecules across cell membrane (in or out of cells). Molecules still move down the concentration gradient.
                                                                                    1. Osmostic Pressure- Pressure created by the presence of water in the cell...cell shrinks or expends.
                                                                                      1. Hypertonic Solution: Con. of solutes outside cell is higher.
                                                                                        1. Animal cell: Shriveied.
                                                                                          1. Plant cell: Plasmolyze.
                                                                                            1. Water leaves cell.
                                                                                            2. Isotonic Solution: Conc. of solutes outside is equal to inside cell.
                                                                                              1. Water leaves and enters cell at the same rate. No net movement.
                                                                                                1. Animal Cell: Normal
                                                                                                  1. Plant .cell: Flaccid
                                                                                                  2. Hypotonic Soultion: Con. of solutes outside cell is lower.
                                                                                                    1. Water enters cell.
                                                                                                      1. Animal Cell: Lysed.
                                                                                                        1. Plant Cell: Turgid (normal).
                                                                                                      2. Facilitated Diffusion: Molecules still move down the concentration gradient, but cannot pass phospholipids on there own.
                                                                                                        1. Rely on proteins imbedded in membrane to "help" them across. Proteins are specific to the type of molecules the uses them.
                                                                                                    2. Active Transport: Does expend energy
                                                                                                      1. Moves molecules against the concentration gradient from areas of low concentration to area of high concentration.
                                                                                                        1. Restores energy.
                                                                                                          1. Takes energy to "go uphill"
                                                                                                            1. Protein pumps move molecules into or out of cell against gradient.
                                                                                                            2. Endocytosis
                                                                                                              1. Moving molecules into cells.
                                                                                                                1. Both processes involve moving large quantities of materials with the use of vesicles.
                                                                                                                2. ENDOCYTOSIS. 1) Molecules move into a 'pocket' of the cell membrane. 2) 'pocket' pinches off the membrane into cytoplasm. 3) Vesicle has now formed and can move around inside the cell.
                                                                                                                  1. These two processes occur at roughly the same rate = NO overall change in cell's size.
                                                                                                                3. Exocytosis
                                                                                                                  1. Moving molecules out of cells.
                                                                                                                    1. Exocytosis. 1) Vesicle pinches off Golgi Apparatus. 2) Free vesicle migrates towards cell membrane. 3) Vesicle contacts cell membrane and begins to refuse with it. 4) As vesicle becomes part of plasma membrane, contents spill out of cell.
                                                                                                              Show full summary Hide full summary

                                                                                                              Similar

                                                                                                              Cell Structure
                                                                                                              megan.radcliffe16
                                                                                                              Biological Definitions
                                                                                                              Yamminnnn
                                                                                                              Biology AQA 3.1.3 Cells
                                                                                                              evie.daines
                                                                                                              Biology AQA 3.2.5 Mitosis
                                                                                                              evie.daines
                                                                                                              Biology AQA 3.1.3 Osmosis and Diffusion
                                                                                                              evie.daines
                                                                                                              Biology- Genes, Chromosomes and DNA
                                                                                                              Laura Perry
                                                                                                              Biology- Genes and Variation
                                                                                                              Laura Perry
                                                                                                              Enzymes and Respiration
                                                                                                              I Turner
                                                                                                              GCSE AQA Biology - Unit 2
                                                                                                              James Jolliffe
                                                                                                              GCSE AQA Biology 1 Quiz
                                                                                                              Lilac Potato
                                                                                                              Using GoConqr to study science
                                                                                                              Sarah Egan