Calculus Test

Description

Quiz on Calculus Test , created by anand_eyes on 26/07/2014.
anand_eyes
Quiz by anand_eyes, updated more than 1 year ago
anand_eyes
Created by anand_eyes over 11 years ago
129
2

Resource summary

Question 1

Question
Calculus is the mathematical study of change and rate of change.
Answer
  • True
  • False

Question 2

Question
Calculus has two major branches, differential calculus (concerning rates of change and slopes of curves), and integral calculus (concerning accumulation of quantities and the areas under and between curves)
Answer
  • True
  • False

Question 3

Question
Derivative in calculus, a quantity indicating how a function changes when the values of its inputs change.
Answer
  • True
  • False

Question 4

Question
Modern calculus was developed in 17th century Europe by John Napier and Calculus Maximus, but elements of it have appeared in ancient Africa , columbia and cambodia.
Answer
  • True
  • False

Question 5

Question
L'Hospital rule says that If the degree of the numerator is greater than the degree of the denominator the answer is 0.
Answer
  • True
  • False

Question 6

Question
log 1000 = 4
Answer
  • True
  • False

Question 7

Question
Maxwell's theory of electromagnetism and Einstein's theory of general relativity are also expressed in the language of differential calculus.
Answer
  • True
  • False

Question 8

Question
An integral is basically the exact opposite of a derivative.
Answer
  • True
  • False

Question 9

Question
The method of logarithms was publicly propounded by John Napier in 1614, in a book titled Mirifici Logarithmorum Canonis Descriptio (Description of the Wonderful Rule of Logarithms).
Answer
  • True
  • False

Question 10

Question
Exponents are shorthand for repeated multiplication of the same thing by itself.
Answer
  • True
  • False

Question 11

Question
Which of the following is the correct description of N=f(t)?
Answer
  • 'N'is a function, f, of t
  • f is a function, N, of t
  • N is a function, t, of f
  • t is a function, f, of N

Question 12

Question
Which function below best describes the following statement? The average daily level of carbon monoxide in the air is denoted by c, where c is a function of the population, p, c is measured in parts per million and p is measured in thousands and c is equal to 0.5 times the population plus one.
Answer
  • p(c)=0.5c+1
  • p(c)=0.5p+1
  • c(p)=0.5c+1
  • c(p)=0.5p+1

Question 13

Question
Which of the following is the derivative of f(x)=3x+2?
Answer
  • f′(x)=2
  • f′(x)=3
  • f′(x)=5
  • There is not enough information to answer the question.

Question 14

Question
Suppose y=f(x). Which of the following statements is correct?
Answer
  • dy/dx=f(x)
  • dy/dt=f′(x)
  • dy/dx=f(t)
  • dy/dx=f′(x)

Question 15

Question
For 2x + y = 4, find the slope.
Answer
  • 2
  • -2
  • 4
  • 6

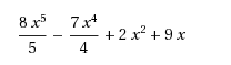
Question 16

Question
.
Image:
1 (image/png)
Answer
  • 1999
  • 1
  • -1
  • 99

Question 17

Question
.
Image:
2 (image/png)
Answer
  • -6
  • 6
  • Does not exist
  • 0

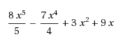
Question 18

Question
.
Image:
3 (image/png)
Answer
  • 0
  • 1
  • -1
  • Does not exist

Question 19

Question
The limit of 16x as x approaches 0 is:
Answer
  • 15
  • 16
  • 0

Question 20

Question
Find dy/dx y = -7x + 5
Answer
  • 1
  • -7
  • 7
  • -1

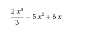
Question 21

Question
..Find answer
Image:
1 (image/png)
Answer

Question 22

Question
Answer is
Image:
5 (image/png)
Answer

Question 23

Question
Answer is
Image:
9 (image/png)
Answer

Question 24

Question
.
Answer

Question 25

Question
.
Answer
Show full summary Hide full summary

Similar