null
US
Sign In
Sign Up for Free
Sign Up
We have detected that Javascript is not enabled in your browser. The dynamic nature of our site means that Javascript must be enabled to function properly. Please read our
terms and conditions
for more information.
Next up
Copy and Edit
You need to log in to complete this action!
Register for Free
4187349
PSS2014
Description
jw
No tags specified
exam
2014
jw
automatyka
5
Quiz by
Krzysztof Kozłowski
, updated more than 1 year ago
More
Less
Created by
Krzysztof Kozłowski
about 10 years ago
25
1
0
Resource summary
Question 1
Question
System adaptacyjny ma:
Answer
Stałe parametry regulatora a zmienną strukturę
Dodatkowy regulator do likwidacji zjawiska dychotomii
Zmienne parametry nastaw regulatora
Porównanie sygnału wyjściowego z obiektu i z modelu obiektu nie jest miarą zmian nastaw regulatora
Question 2
Question
Sieć przemysłowa powinna cechować się:
Answer
Połączeniem pierścieniowym
Większą odpornością na zakłócenia przemysłowe
Tylko protokołem komunikacyjnym Ethernet Industrial
Brakiem możliwości pracy w czasie rzeczywistym
Question 3
Question
System odporny (ang. robust) ma:
Answer
Stałe w czasie współczynniki a zmienne parametry
Dodatkowy regulator
Dostrajanie parametrów regulatora
Nie daje zadowalającą odpowiedź na zmianę zakłócenia i sygnału wejściowego
Question 4
Question
Transmitancję dyskretną:
Answer
Można bezpośrednio wpisać do sterownika
Po konwersji na równanie różnicowe można wpisać do sterownika
Po konwersji na równanie różnicowe nie da się wpisać bo opis dotyczy układu nieminimalnofazowego
Po konwersji na równanie różnicowe wpisujemy tylko część dotyczącą mianownika (równanie charakterystyczne)
Question 5
Question
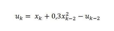
Ile tagów potrzebnych będzie do rozwiązania tego równania
Image:
de4a1162-3c64-4e7e-b389-da8efcd3ddc9 (image/jpeg)
Answer
4
2
6
7
Show full summary
Hide full summary
Want to create your own
Quizzes
for
free
with GoConqr?
Learn more
.
Similar
The SAT Math test essentials list
lizcortland
How to improve your SAT math score
Brad Hegarty
HIP2014
Krzysztof Kozłowski
HIPUA2014
Krzysztof Kozłowski
SCR2014
Krzysztof Kozłowski
PA2014
Krzysztof Kozłowski
Metro2014
Krzysztof Kozłowski
AS2014
Krzysztof Kozłowski
TM2014
Krzysztof Kozłowski
SD2014
Krzysztof Kozłowski
RE Keywords - Paper 1 - Religion and life
Kerris Linney
Browse Library