Statistik

Description

Hier findet Ihr Klausurfragen für den Fachbereich Psychologie! :D
Lily Lightman
Quiz by Lily Lightman, updated more than 1 year ago
Lily Lightman
Created by Lily Lightman almost 10 years ago
225
3

Resource summary

Question 1

Question
Bitte Kreuze alle Richtigen Antworten an!
Answer
  • In Zuge der Operationalisierung können mitunter Teildimensionen zu einem Index zusammengefasst werden. Dies ist nach Kromrey jedoch nur dann zulässig, wenn diese Teildimensionen positiv miteinander korrelieren.
  • Durch Indexbildung kann es nach Kromrey zur Kumulation von Mess-Ungenauigkeiten kommen.
  • Das „Prinzip der Vollständigkeit“ bei der Datensammlung besagt, dass jeder Untersuchungseinheit genau eine Variablenausprägung zugewiesen wird.
  • Wenn Messwerte eine hohe intertemporale, intersubjektive und interinstrumentelle Stabilität aufweisen, so erfüllen sie das Gütekriterium „Zuverlässigkeit“.
  • Damit eine Theorie als „empirisch interpretiert“ bezeichnet werden kann, muss sie u.a. theorie-implizierte Beobachtungsaussagen enthalten.

Question 2

Question
In der Uni wurde ein Fragebogen ausgeteilt, der aussah wie auf dem Bild. Bitte schauen Sie ihn sich an und beurteilen Sie danach die Aussagen dazu!
Answer
  • Die Daten aus Frage 2 des oben gezeigten Fragebogens sind nominalskalierte, diskrete und qualitative Merkmalsausprägungen.
  • Die Daten auf den zurückgesandten ausgefüllten Fragebögen stellen die Rohdaten in dieser Untersuchung dar.
  • Die Daten aus Frage 1 des Fragebogens haben metrisches Skalenniveau.
  • Wenn nicht alle Angeschriebenen den Fragebogen zurückschicken, liegt „Undercoverage“ vor.
  • Die Daten aus Frage 4 sind nominalskaliert.

Question 3

Question
Im Rahmen eines Konzentrationstests bei der Vorschuluntersuchung wird den Kindern ein Blatt mit vielen Smileys , und „Frownies“ / vorgelegt. Innerhalb von einer halben Minute sollen die Kinder möglichst viele „Frownies“ durchstreichen. Die acht untersuchten Vorschulkinder aus der Regenbogengruppe erzielten dabei folgende Anzahlen korrekt durchgestrichener „Frownies“: 24 52 39 42 28 18 32 29 Bitte klicken Sie die richtigen Aussagen an!
Answer
  • Der Median x0:5 ist größer als das arithmetische Mittel.
  • Die Standardabweichung ist kleiner als 10:5.
  • Bei ordinal skalierten Daten ist die Bestimmung des arithmetischen Mittels nicht sinnvoll.
  • Das 0:6-Quantil x0:6 lautet 32.
  • Der obige Datensatz wird korrekt in folgendem Boxplot dargestellt:

Question 4

Question
Bitte kreuzen Sie die richtigen Aussagen an.
Answer
  • Die Kovarianz zweier Merkmale X und Y nimmt denWert sx * sy an, wenn alle Punkte (xi; yi) im Streudiagramm genau auf einer Geraden mit positiver Steigung liegen.
  • Der Rangkorrelationskoeffizient rSp lässt sich auch auf metrische Merkmale X und Y anwenden. Er ist stets kleiner als der Korrelationskoeffizient r von X und Y .
  • Wenn zwei metrische Merkmale X und Y unkorreliert sind, so kann es keinen Zusammenhang zwischen ihnen geben.
  • Wenn der Korrelationskoeffizient zweier Merkmale betragsmäßig kleiner als 0,5 ist, spricht man üblicherweise von einer schwachen Korrelation; ist er größer, von einer mäßigen bis starken Korrelation. Bei den Merkmalen X und Y , die für n = 6 Probanden erhoben wurden, wurden folgende Werte errechnet: Hier liegt also eine schwache Korrelation vor.
  • Bei einer Untersuchung mit n = 300 Studierenden der Universität wird der Frage nachgegangen, inwieweit es einen Zusammenhang zwischen der Fakultät X (mit den Ausprägungen „ksw“, „mathinf“, „wiwi“, „rewi“) und der Präferenz für einen Fußballverein Y gibt. Die Studierenden konnten dabei angeben, ob sie Anhänger von Bayern München (y1), des HSV (y2), Schalke (y3), Dortmund (y4), des FC St. Pauli (y5), eines anderen Vereins (y6) sind oder auch gar keinen Fußballverein unterstützen (y7). Aus diesen Daten wurde ein Kontingenzkoeffizient von X² = 173:,6 errechnet. Jemand anderes interessiert sich nur dafür, ob die Fakultät Einfluss darauf hat, ob die Studierenden überhaupt Fußballfans sind oder nicht und fasst die ersten sechs Spalten zu einer einzigen zusammen. Der Kontingenzkoeffizient für die so modifizierte Kontingenztafel beträgt nun X² = 61,4. Cramér’s V ist im letzten Fall kleiner als Cramér’s V der ursprünglichen Kontingenztafel.

Question 5

Question
In einer Untersuchung soll der Frage nachgegangen werden, ob häufiges Grübeln in einem Zusammenhang mit einigen speziellen Persönlichkeitsstörungen steht. Hierzuwerden insgesamt 130 Probanden befragt. Bei 24 von ihnen wurde eine schizoide Persönlichkeitsstörung diagnostiziert, weitere 50 leiden an einer ängstlich-vermeidenden Persönlichkeitsstörung. Bei den übrigen Probanden liegt eine histrionische Persönlichkeitsstörung vor. Es berichten 82% der ängstlich-vermeidenden Personen davon, dass sie häufig grübeln. In dieser Untersuchung grübeln prozentual gleich viele von den schizoiden wie von den histrionischen Probanden. Insgesamt sind 61 Probanden von häufigem Grübeln betroffen.
Answer
  • Genau 9 der ängstlich-vermeidenden Personen grübeln hier nicht.
  • Mehr als 68% der „Grübler“ sind ängstlich-vermeidend.
  • Von den „Nicht-Grüblern“ sind mehr als 86% entweder histrionisch oder schizoid.
  • Unter den „Nicht-Grüblern“ befinden sich 44 Personen mit histrionischer Persönlichkeitsstörung.
  • DieWahrscheinlichkeit, bei zufälligerAuswahl eines Probanden einen grübelnden Schizoiden zu wählen, liegt unter 5%.

Question 6

Question
Bei einer Untersuchung zum Thema „Unterschiedlichkeit von Einstellungen in Partnerschaften“ sollen Ehepartner u. a. angeben, wie stark sie jeweils der Aussage „Vertrauen ist die Basis einer guten Beziehung“ auf einer Likert-Skala von 1 bis 5 zustimmen. Das eigentliche Forschungsinteresse bezieht sich dabei auf die Distanz X der Antworten. Wenn also beispielsweise der Ehemann die Antwort „5“ wählt und die Ehefrau die Antwort „2“ (oder umgekehrt), so wäre die Distanz x =3. Gehen Sie zunächst davon aus, beide Partner würden ihre Antworten rein zufällig und unabhängig voneinander auswählen. (Insbesondere ist dieWahrscheinlichkeit für jede der Zahlen 1,...,5 gleich.) Zum besseren Verständnis zeigt die folgende Tabelle die Distanzen X für jede Kombination von Antworten der Paare:
Answer
  • Für die Wahrscheinlichkeitsfunktion der Zufallsvariablen X gilt f(1) = 0:32
  • Der Erwartungswert des Abstands X ist gleich 1:25
  • Der Abstand X ist binomialverteilt.
  • Die Randverteilungen der Kontingenztafel stimmen überein.
  • Wenn die Ehepartner ihre Antworten tatsächlich rein zufällig und unabhängig voneinander gewählt hätten, so würden alle Zellen der Kontingenztafel genau den Wert 5 haben, also alle Antwortkombinationen mit der gleichen Häufigkeit auftreten.

Question 7

Question
Welche der folgenden Aussagen sind richtig? Bei den Aufgabenteilen A, B und C ist jeweils der Wahrheitsgehalt des letzten Satzes zu beurteilen.
Answer
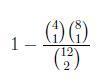
  • In der Schublade von Frau H. aus M. liegen lose 12 Socken herum, davon sind 4 grau und 8 schwarz. Morgens greift sie verschlafen im Dunkeln in die Schublade und nimmt zufällig zwei Socken heraus. DieWahrscheinlichkeit, dass sie dabei zwei gleichfarbige Socken entnimmt, lässt sich durch folgenden Ausdruck berechnen: (Siehe Grafik)
  • XA und XB sind zwei unabhängige normalverteilte Zufallsvariablen, die jeweils die gleiche Varianz o2 (und den gleichen Erwartungswert µ) haben. Dann ist die Varianz des Durchschnitts von XA und XB, d.h. von 12 (XA+XB), auf jeden Fall kleiner als o2.
  • Die Stichprobenvariablen X1; :::;X18 sind unabhängig voneinander und haben alle die (unbekannte) Varianz o2. Sie weisen einen Stichprobenmittelwert von 38:6 und eine Stichprobenvarianz von 75:65 auf. Erwartungstreue Schätzer der entsprechenden Populationsparameter lauten dann µ = 38,6 (Mittelwert) und o²= 80,1 (Varianz).
  • Das empirische Gesetz der großen Zahlen besagt, dass sich jede Verteilung von Summen oder Mittelwerten von Zufallsvariablen mit steigender Stichprobengröße immer mehr der Normalverteilung oder, in ihrer standardisierten Form, der Standardnormalverteilung annähert.

Question 8

Question
Welche der folgenden Aussagen sind richtig? Bei der letzten Frage ist der Wahrheitsgehalt des letzten Satzes zu beurteilen.
Answer
  • Nur wenn man den tatsächlichen Populationsparameter, wie z. B. den Anteil depressiver Frauen in einer bestimmten Altersgruppe, kennt, lässt sich eine empirische Stichprobenverteilung ermitteln.
  • Wird ein Bernoulli-Experiment n Mal unabhängig durchgeführt, so entspricht der zu erwartende Anteilswert in der Stichprobe dem Anteilswert in der Population.
  • Will man die Wahrscheinlichkeit erhöhen, dass ein 95%-Konfidenzintervall den zu schätzenden Parameter trifftt, so erreicht man dies durch eine Erhöhung des Stichprobenumfanges n.
  • Bestimmt man zehn 90%-Konfidenzintervalle, so enthält genau eines davon den gesuchten Parameter nicht.
  • Eine Personalleiterin überlegt, ob sie auf den Vorschlag einer Mitarbeiterin eingehen soll, zwanzigminütige „Power Naps“ zur Leistungssteigerung zuzulassen. Bislang werden in der betroffenen Abteilung im Schnitt täglich 30 Akten bearbeitet. In einer Erprobungsphase von zweiWochen (d.h. zehn Arbeitstage) bearbeitet die Abteilung nun täglich durchschnittlich 31:8 Akten, bei einer Stichprobenstandardabweichung von s = 3,75. Gehen Sie davon aus, dass die Anzahl der täglich bearbeiteten Akten normalverteilt ist. Die Personalleiterin kann dann aufgrund dieser Daten zu 90% konfident sein, dass sich durch „Power Naps“ tatsächlich eine Leistungssteigerung einstellt (d.h.das 90%-K.I. liegt gänzlich oberhalb des bisherigen Durchschnittswertes von 30).

Question 9

Question
Welche der folgenden Aussagen sind richtig?
Answer
  • Die Power eines Tests gibt die Wahrscheinlichkeit dafür an, dass der Test im Falle der Gültigkeit der H1 signifikant wird.
  • Wenn der p-Wert kleiner als das Signifikanzniveau a (alpha) ist, so darf man daraus korrekterweise schließen: Es ist sehr unwahrscheinlich, dass die H0 wahr ist.
  • Wenn man bei der Auswahl/ Konstruktion eines Tests festlegt, wie groß die Power mindestens sein soll, so legt man dadurch gleichzeitig fest, wie groß die Wahrscheinlichkeit für einen Fehler 2. Art (also b (beta)) maximal sein darf.
  • Üblicherweise ist in der Forschungspraxis der maximale Stichprobenumfang eingeschränkt durch Sachzwänge wie begrenzte Forschungsmittel oder relativ kleine Populationen (z. B. Leute mit einer bestimmten, seltenen Krankheit, über die geforscht werden soll). Es kann aber auch Testkonstellationen geben, bei denen eine Begrenzung des Stichprobenumfanges auchmathematisch/ theoretisch begründbar ist. Dies ist beispielsweise dann der Fall, wenn das Forschungsinteresse darin besteht, auch geringe Populationseffekte aufzudecken.
  • Eine neuartige Therapieform soll angeblich den Heilungsprozess bei einer bestimmten Krankheit deutlich verkürzen. Mit der konventionellen Therapie dauert dieser Heilungsprozess im Schnitt 10 Tage, mit der neuen Therapie angeblich höchstens siebenTage (H0 : µ = 10 vs. H1 : µ = 7). Sie sollen einen Test durchführen und müssen sich im Vorfeld überlegen, mit welcherWahrscheinlichkeit der Fehler 1. Art und der Fehler 2. Art jeweils höchstens in Kauf genommen werden kann. Gehen Sie davon aus, dass sowohl bei der alten als auch bei der neuen Therapie keine nennenswerten Nebenwirkungen auftreten.Wenn die Krankheit für die Betroffenen sehr unangenehm ist, ist das ein Argument dafür, den Fehler 1. Art im Verhältnis zum Fehler 2. Art relativ klein zu halten.

Question 10

Question
Zu einem Seminar haben sich 40 Teilnehmer angemeldet. Im Seminarraum befinden sich jedoch nur 39 Sitzplätze, weil ein nachbestellter Stuhl nicht rechtzeitig geliefert wurde. Gehen Sie davon aus, dass angemeldete Teilnehmer aufgrund kurzfristiger Umstände unabhängig voneinander jeweils mit einer Wahrscheinlichkeit von p = 5% nicht zum Seminar erscheinen. Wie groß ist dann dieWahrscheinlichkeit, dass die Anzahl der Sitzplätze nicht ausreicht?
Answer
  • 0.129
  • 0.158
  • 0.789
  • 0.343
  • 0.176

Question 11

Question
X ist eine normalverteilte Zufallsvariable mit dem Erwartungswert µ = 216 und einer Standardabweichung von o²= 20. Mit welcher Wahrscheinlichkeit nimmt X höchstens den Wert 239,2 an?
Answer
  • 0.3534
  • 0.8770
  • 0.2342
  • 0.3467
  • 0.4533
Show full summary Hide full summary

Similar

Statistik Theorie
Clara Vanessa
Erfassung von Zusammenhängen: 4-Felder Tafeln
menes
Sachversicherungen
Christine Zehnder
Klinische Psychologie Teil 1
Lisa Mariá Hchil
Klinische Psychologie Teil 2
Lisa Mariá Hchil
Eriksons Modell psychosexueller und psychosozialer Entwicklung im Kindes-, Jugend- und Erwachsenenalter
Lena S.
Allgemeine Psychologie
CharlotteSc
Pädagogik Abitur 2016: Freud
Lena S.
METH STADA SS 2019
Caroline Hannah
Haftpflichtversicherungen
Christine Zehnder
Unfallversicherung
Christine Zehnder