null
US
Sign In
Sign Up for Free
Sign Up
We have detected that Javascript is not enabled in your browser. The dynamic nature of our site means that Javascript must be enabled to function properly. Please read our
terms and conditions
for more information.
Next up
Copy and Edit
You need to log in to complete this action!
Register for Free
743965
Integrales
Description
matemáticas V Quiz on Integrales, created by fmartinez2408 on 10/04/2014.
No tags specified
matemáticas v
matemáticas v
Quiz by
fmartinez2408
, updated more than 1 year ago
More
Less
Created by
fmartinez2408
almost 12 years ago
61
0
0
Resource summary
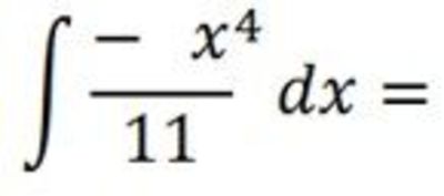
Question 1
Question
Resuelva la integral indicada.
Image:
integral1 (image/jpg)
Answer
x^5/7 + C
x^6/42 + C
x^6/7 + C
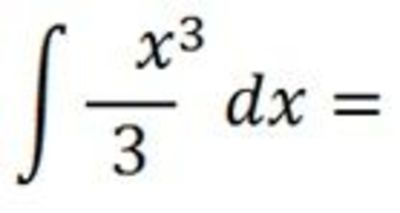
Question 2
Question
Resuelva la integral indicada.
Image:
integral2 (image/jpg)
Answer
x^9/9 + C
x^9/18 + C
x^9/81 + C
Question 3
Question
Resuelva la integral indicada.
Image:
integral3 (image/jpg)
Answer
-x^5/55 + C
-x^5/16 + C
x^5/55 + C
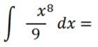
Question 4
Question
Resuelva la integral indicada.
Image:
integral4 (image/jpg)
Answer
x^4/9 + C
x^4/12 + C
x^4/3 + C
Question 5
Question
Resuelva la integral indicada.
Image:
integral5 (image/jpg)
Answer
-x^7/8 + C
x^8/32 + C
- x^8/32 + C
Question 6
Question
Calcule el valor de C.
Image:
integral6 (image/jpg)
Answer
C = 2107
C = 2197
C = - 2107
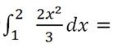
Question 7
Question
Resuelva la integral indicada.
Image:
integral7 (image/jpg)
Answer
14/9
2/9
7/9
Show full summary
Hide full summary
Want to create your own
Quizzes
for
free
with GoConqr?
Learn more
.
Similar
CINEMATICA: DERIVADAS E INTEGRALES
rosa cano
Antiderivación: la integral indefinida
Roberto Berberian
Análisis Matemático Univariado
Patricio Castillo
Matesfacil
Jose L
Integrales
juansorianohernandez
Derivadas
COBACH 19
Integrales definidas
gabriela garcia
Parcial 2
Óscar Garcia
El Tercer Examen
oscar.estrada
integrales
Mateo Garcia9910
Rutas Integrales De Atención En Salud
ramiro florez
Browse Library