null
US
Sign In
Sign Up for Free
Sign Up
We have detected that Javascript is not enabled in your browser. The dynamic nature of our site means that Javascript must be enabled to function properly. Please read our
terms and conditions
for more information.
Next up
Copy and Edit
You need to log in to complete this action!
Register for Free
7792032
QUIZ DERIVADAS, en hoja anexa justifica las respuestas, incluyendo las de teoría.
Description
Quiz
No tags specified
cálculo diferencial
derivadas
máximo
mínimo
regla de la cadena
regla del producto
regla del cociente
pendiente
recta tangente
recta normal
ib mathematics sl ii
derivadas
Quiz by
MANUEL ORTIZ GOMEZ
, updated more than 1 year ago
More
Less
Created by
MANUEL ORTIZ GOMEZ
almost 9 years ago
305
0
0
Resource summary
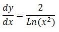
Question 1
Question
Encuentra la derivada de:
Image:
afd6384d-cc8e-46a6-9e4c-4830fd3059c0 (image/jpeg)
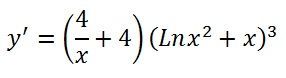
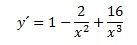
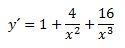
Answer
Image:
4aa8581b-9992-4c28-84c5-527408de37eb (image/jpeg)
Image:
c7e78e41-3d01-4b3e-889c-851a7957b84e (image/jpeg)
Image:
694a6708-f4a8-45e6-a3e7-a87b90379ff5 (image/jpeg)
Question 2
Question
En el diagrama de signos, si existe un cambio de signos negativo a positivo en la derivada me encuentro en un máximo
Answer
True
False
Question 3
Question
Si la pendiente de la derivada es cero, la pendiente de la normal es indefinida.
Answer
True
False
Question 4
Question
Obtén la recta tangente a la curva f(x)=ln(2-x), en x=1
Answer
Indefinido
y=-x+1
y=x-1
y=-x
y=-x-1
Question 5
Question
Si la recta tangente es y=-x, en x=1. Obtén a y b de f(x)=ax^2+b
Answer
a=1/2 b=1/2
a=1 b=-1/2
a=-1/2 b=-1
a=-1/2 b=-1/2
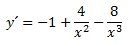
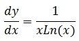
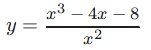
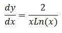
Question 6
Question
Obtén la derivada
Image:
9428243e-293d-4185-a6fe-6bafe1c843c9 (image/jpeg)
Answer
Image:
c98a1cd6-249b-4285-8af9-6e3aeb9df665 (image/jpeg)
Image:
140f016e-6076-48cd-ab17-55c2c145138b (image/jpeg)
Image:
f9cd776c-ecc1-42d8-b62f-d63f2f789a88 (image/jpeg)
Image:
c2f0cbdd-5ddf-4a7f-a9e2-f341626d1bde (image/jpeg)
Question 7
Question
Si la derivada es la gráfica mostrada, obtén su función
Image:
3b3478f7-c81a-4b2e-a704-d4742c7521d3 (image/png)
Answer
Image:
cd596e04-5985-4a4b-94a3-b8c39d01dd2c (image/jpeg)
Image:
f2d352a0-2348-43ef-9bc0-f6b0e8deb8da (image/jpeg)
Image:
1602114d-b231-46f5-9038-8819d640c383 (image/png)
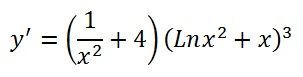
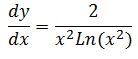
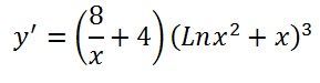
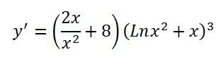
Question 8
Question
Deriva
Image:
7eef3caf-7807-4c54-b6ad-c2b487713b84 (image/jpeg)
Answer
Image:
fcfb755a-fccd-4a92-a642-1268ac963a3d (image/jpeg)
Image:
618a9f82-d276-4095-8385-36fbdcac955c (image/jpeg)
Image:
52223a4f-7f47-4b20-8ae7-840f9966f3d9 (image/jpeg)
Image:
f38eeae8-6700-4abf-b4f2-f121ef06a54b (image/jpeg)
Question 9
Question
La pendiente de la recta normal es inversamente proporcional y del mismo signo
Answer
True
False
Show full summary
Hide full summary
Want to create your own
Quizzes
for
free
with GoConqr?
Learn more
.
Similar
Aplicaciones de las derivadas
Marta Arroyo
Derivadas
erendira.aviles
CINEMATICA: DERIVADAS E INTEGRALES
rosa cano
INTEGRACIÓN DE LOS RECURSOS TECNOLÓGICOS
Laura Erives Calzadillas
Aplicaciones a las derivadas
Marta Arroyo
Aplicaciones a las derivadas
Marta Arroyo
PRUEBA DE GEOMETRIA ANALITICA.
BRENDA GABRIELA CASTILLO
Glosario de Derivadas
Isabel Morales
Reglas de Integración
Freddy Ulate Agüero
Derivación
Luis Almonte
La Derivada Como La Pendiente De La Recta Tangente
camila muñoz
Browse Library