Discrete Probability Distributions

Beschreibung

Statistics Mindmap am Discrete Probability Distributions, erstellt von alistairewart am 20/10/2013.
alistairewart
Mindmap von alistairewart, aktualisiert more than 1 year ago
alistairewart
Erstellt von alistairewart vor etwa 12 Jahre
340
0

Zusammenfassung der Ressource

Discrete Probability Distributions
  1. Binomial Distribution
    1. Example

      Anmerkungen:

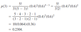
      • Historical sales record that 40 percent of all customers who enter store make a purchase. What is the probability that two of the next three customers will make a purchase?
      1. how we know it's binomial
        1. 1) identical trials
          1. 2) TWO outcomes are possible in each trial
            1. 3) probability stays constant
              1. 4) all trial outcomes are independent
              2. Sample Outcome Space

                Anmerkungen:

                • SSS    SSF SFS FSS FFS FSF SFF FFF
                1. We know there are 8
                2. Note
                  1. 1

                    Anmerkungen:

                    • the 3 in this expression is the number of sample space out comes (ssf, sfs, and fss) that correspond to the EVENT "two of the next three customers make purchases.
                    1. 2

                      Anmerkungen:

                      • .4 = p .6= q  is the probability that the customer does not make a purchase
                    2. Calculation
                  2. Definitions
                    1. trials
                      1. success and failure

                        Anmerkungen:

                        • (p)= success (f) = failure
                        1. sample space outcomes
                        2. Formulas
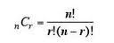
                          1. number of ways to arrange x successes among n trials
                            1. Binomial Probability
                            2. Rules
                              1. Addition Rule
                                1. not mutually Exclusive
                                  1. Mutually Exclusive
                                  2. Compliment Rule

                                    Anmerkungen:

                                    • If A is the event... A Compliment is the event in which it will NOT occur.
                                  3. Mean/ Variance/ SD
                                    Zusammenfassung anzeigen Zusammenfassung ausblenden

                                    ähnlicher Inhalt

                                    Statistics Key Words
                                    Culan O'Meara
                                    SAMPLING
                                    Elliot O'Leary
                                    CUMULATIVE FREQUENCY DIAGRAMS
                                    Elliot O'Leary
                                    FREQUENCY TABLES: MODE, MEDIAN AND MEAN
                                    Elliot O'Leary
                                    HISTOGRAMS
                                    Elliot O'Leary
                                    TYPES OF DATA
                                    Elliot O'Leary
                                    GROUPED DATA FREQUENCY TABLES: MODAL CLASS AND ESTIMATE OF MEAN
                                    Elliot O'Leary
                                    Statistics Vocab
                                    Nabeeha Yusuf
                                    chapter 1,2 statistics
                                    Rigo Sanchez
                                    Statistics, Data and Area (Semester 2 Exam)
                                    meg willmington
                                    Chapter 7: Investigating Data
                                    Sarah L