Math

Beschreibung

9 Science,Math Mindmap am Math, erstellt von shenaii matlock am 07/05/2014.
shenaii matlock
Mindmap von shenaii matlock, aktualisiert more than 1 year ago
shenaii matlock
Erstellt von shenaii matlock vor mehr als 11 Jahre
36
1

Zusammenfassung der Ressource

Math
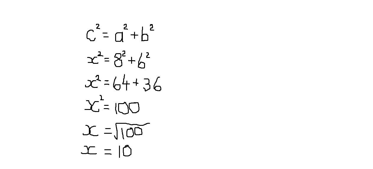
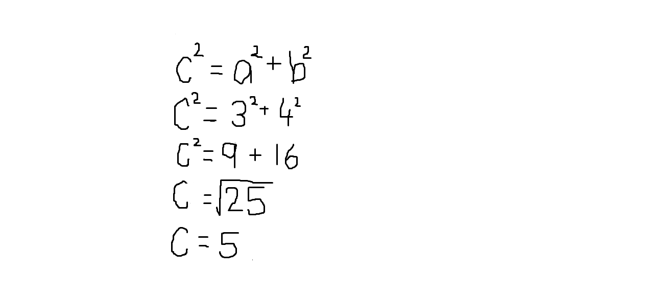
  1. Pythagoras theom
    1. Hypotenuse
      1. A hypotenuse is the side opposite to the right angle and or the longest side
          1. Examples
            1. finding the shorter side
                1. To find the shorter side you subtract rather than add them together
              1. Percentages
                1. Finance
                  1. Fractions and Decimals
                    1. %= 100
                      1. Adding Percentage
                        1. Sales example. 20% off
                          1. Volumes example. the glass is 50% full
                            1. How to get exams results in percentage
                              1. Profit and loss
                                1. Algebra
                                  1. Adding and Subtracting
                                    1. Multiplying
                                      1. Dividing
                                        1. Extention
                                          1. Multiplying and dividing
                                          2. Other Maths
                                            1. Square root
                                              1. Examples
                                                1. There is other types of Square roots.
                                                  1. For this question you would find out what number is timed by itself 3 times to get 64. Or you could divide with numbers till you get it this is a trial and era time. The answer is 4
                                                    1. For this one you would see what number is timed 4 times that equals 8. The simple answer is 2.
                                                  2. Order of Operrations
                                                    1. 1. Brackets
                                                      1. 2.Times and divide
                                                        1. 3.adding and subtrating
                                                      Zusammenfassung anzeigen Zusammenfassung ausblenden

                                                      ähnlicher Inhalt

                                                      Pythagorean Theorem Quiz
                                                      Selam H
                                                      Geometry Vocabulary
                                                      patticlj
                                                      Algebra 2 Quality Core
                                                      Niat Habtemariam
                                                      GRE Study Precalc
                                                      Marissa Miller
                                                      Geometry Formulas
                                                      Selam H
                                                      MODE, MEDIAN, MEAN, AND RANGE
                                                      Elliot O'Leary
                                                      CUMULATIVE FREQUENCY DIAGRAMS
                                                      Elliot O'Leary
                                                      STEM AND LEAF DIAGRAMS
                                                      Elliot O'Leary
                                                      Statistics Equations & Graphs
                                                      Andrea Leyden
                                                      Using GoConqr to teach Maths
                                                      Sarah Egan
                                                      Using GoConqr to study Maths
                                                      Sarah Egan