MATRICES

Description

Mind Map on MATRICES, created by as asd on 21/03/2014.
as asd
Mind Map by as asd, updated more than 1 year ago
as asd
Created by as asd almost 12 years ago
17
0

Resource summary

MATRICES

Annotations:

  • ¿Qué es una Matriz? ¿En que se divide?
  1. Matrices Especiales
    1. Matriz Diagonal
      1. sea a11, a22, a33, ..., si m = n
        1. Matriz Escalar
          1. sea A una matriz y c un escalar
            1. Es una matriz diagonal que tiene todas las entradas
          2. Matriz Identidad
            1. Es una matriz escalar con entradas
            2. Matriz Cero
              1. Negativa de Una Matriz ------>
                1. Triangular
                  1. Triangular Superior
                    1. Triangular Inferior
                    2. Matriz Diagonal
                2. Operaciones
                  1. Suma
                    1. A y B son matrices m * n
                    2. Resta
                      1. Multiplicación escalar
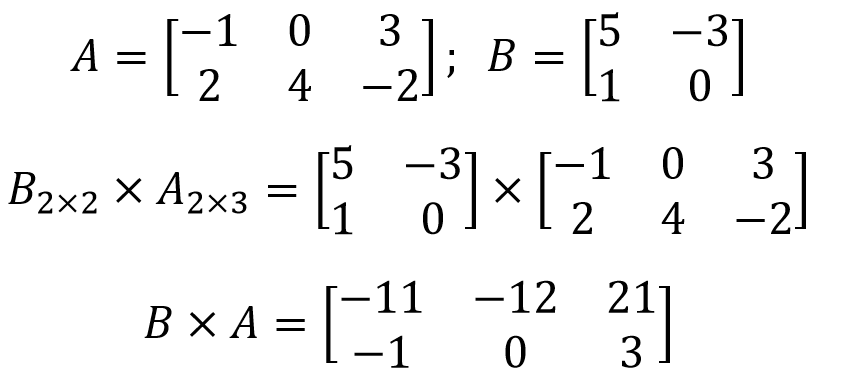
                        1. Producto entre Matrices
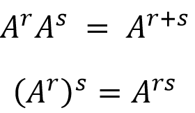
                          1. Potencia de una Matriz
                            1. Debe ser una matriz
                              1. Si A es una matriz entonces
                          2. Transpuesta de una Matriz
                            1. Sea A una matriz de m x n
                              1. Hay un cambio de renglon por sus columnas
                            2. Combinación Lineal
                              1. A1, A2, ... Ak son matriz, y c1, c2, ... ck son escales
                                1. Se puede hacer una combinación para dar
                                2. Independencia lineal
                                  1. Es independiente cuando la única solución es 0
                                    1. Es la solución Trivial
                                  2. Espacio Generado
                                    1. sean un conjunto de matrices, como un conjunto de combinaciones lineales de una matriz M
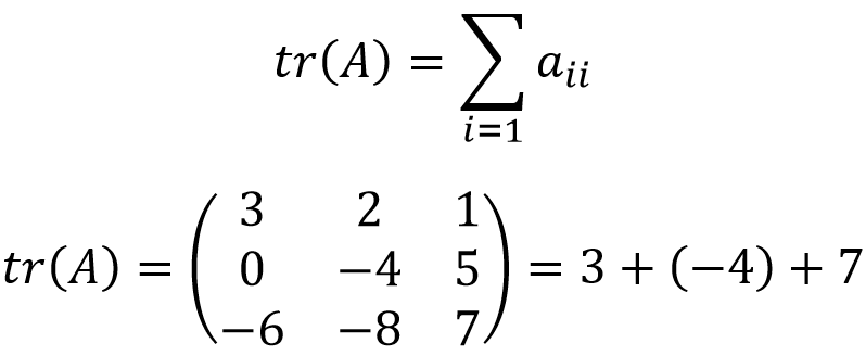
                                  3. Traza de una Matriz
                                    1. Es la suma de sus entradas sobre su diagonal principal
                                    Show full summary Hide full summary

                                    Similar

                                    Matrices y Determinantes
                                    Diego Santos
                                    Matrices y Determinantes
                                    Victor Rodriguez
                                    MATRICES Y DETERMINANTES
                                    andresfelipe_int
                                    Formas escalonadas de matrices. Teoría de matrices
                                    Rolando Seclen
                                    Regla de Cramer y solución de sistema de ecuaciones
                                    Enrique Israel|
                                    Matrices y solución de sistema de ecuaciones
                                    Enrique Israel|
                                    OPERACIONES CON MATRICES
                                    Balta Estevan Herrero
                                    PLANEACIÓN ESTRATEGICA: OBJETIVOS
                                    Alejandro Mateus
                                    Parcial #3
                                    Rita de_la_Hoz_d
                                    Matrices
                                    j.2689
                                    PROPIEDADES DE LAS OPERACIONES DE MATRICES
                                    Balta Estevan Herrero