null
US
Sign In
Sign Up for Free
Sign Up
We have detected that Javascript is not enabled in your browser. The dynamic nature of our site means that Javascript must be enabled to function properly. Please read our
terms and conditions
for more information.
Next up
Copy and Edit
You need to log in to complete this action!
Register for Free
1805174
What's In A Medicine? Overview Quiz
Description
An overview quiz for the "What's In A Medicine" unit
No tags specified
chemistry
f334
ocr
salters b
chemistry (f334)
what's in a medicine?
a-level
Quiz by
Carter Bartlett
, updated more than 1 year ago
More
Less
Created by
Carter Bartlett
almost 11 years ago
85
6
0
Resource summary
Question 1
Question
The Brønsted-Lowry theory states that acids are a...
Answer
Proton Acceptor
Electron Acceptor
Proton Donor
Electron Donor
Question 2
Question
In the diagram. HA is referred to as a...
Image:
474e4547-3f05-498d-b738-f6e38819578d (image/png)
Answer
Complex Acid
Conjugate Acid
Compound Acid
Composite Acid
Question 3
Question
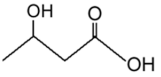
Name the following compound...
Image:
688efad4-1d12-40c3-a28d-233076b586bf (image/png)
Answer
1-hydroxybutanoic acid
3-hydroxybutanol
3-hydroxybutanoic acid
hydroxybutandioic acid
Question 4
Question
When ethanoic acid (CH3COOH) reacts with a sodium carbonate (Na2CO3), entropy within the system increases.
Image:
dca99b17-2d2a-456c-bf6a-264189b1b688 (image/png)
Answer
True
False
Question 5
Question
When a carboxylic acid and an alkali are reacted, the following products are formed...
Answer
An Organic Salt
Carbon Dioxide
Water
Hydrogen
An Alcohol
An Ester
Question 6
Question
Esters are made in a condensation reaction between a carboxylic acid and a phenol group
Answer
True
False
Question 7
Question
Esters are formed by refluxing carboxylic acids and alcohols in the presence of which reagent?
Answer
Concentrated Phosphoric
Concentrated Nitric Acid
Concentrated Sulphuric Acid
Concentrated Boric Acid
Question 8
Question
Name this compound
Image:
afe151f5-2fa9-4ec9-be54-0373596bf4f8 (image/png)
Answer
Ethyl Propanoate
Ethyl Ethanoate
Propyl Ethanoate
Propyl Propanoate
Question 9
Question
Which reagent can be used to test for phenols?
Answer
Copper (II) Sulphate
Iron (III) Hydroxide
Copper (II) Hydroxide
Iron (III) Chloride
Question 10
Question
When a ketone or aldehyde is reacted with Hydrogen Cyanide, the resulting product is...
Answer
A nitrile-carbonyl
A cyanohydrin
An amide
A nitrate
Question 11
Question
Which of the following types of chemical reaction always has 100% atom exonomy?
Answer
Rearrangement
Addition
Substitution
Elimination
Condensation
Question 12
Question
What is the atom economy for making Methyl Propanoate from Methanol and Propanoic Acid.
Answer
93%
88%
83%
77%
Question 13
Question
Using this mass spectrum. Suggest which group this sample belongs to
Image:
5e23d088-9d08-4c37-9e93-b4590a31b0e5 (image/png)
Answer
Alkane
Ester
Ether
Carboxylic Acid
Question 14
Question
How are Rf values calculated with Thin-Layer Chromatography?
Image:
2b3bc10a-a00d-423b-a399-7b6fa3150f79 (image/jpg)
Answer
Rf = Distance spot travelled / Distance highest spot travelled
Rf = Distance solvent travelled / Distance spot travelled
Rf = Distance solvent travelled
Rf = Distance spot travelled / Distance solvent travelled
Question 15
Question
How are insoluble impurities removed in the process of Recrystallisation?
Answer
Filtration of the cold solution
Filtration of the hot solution
Evaporation & condensation of the solution
Chloronation of the solution
Show full summary
Hide full summary
Want to create your own
Quizzes
for
free
with GoConqr?
Learn more
.
Similar
AS Chemistry - Enthalpy Changes
Sarah H-V
A2 Organic Chemistry - Reactions
yannycollins
OCR Chemistry - Atoms, Bonds and Groups (Definitions)
GwynsM
OCR Chemistry Definitions 2.1
09valentinerhi
OCR Chemistry Definitions 1.1
09valentinerhi
C1 Quiz
Leah Firmstone
Chemistry Module C2: Material Choices
James McConnell
Chemistry Module C1: Air Quality
James McConnell
Rates of Reaction
Evie Papanicola
C2: Material Choices Test
James McConnell
Computing Hardware - CPU and Memory
ollietablet123
Browse Library