null
US
Sign In
Sign Up for Free
Sign Up
We have detected that Javascript is not enabled in your browser. The dynamic nature of our site means that Javascript must be enabled to function properly. Please read our
terms and conditions
for more information.
Next up
Copy and Edit
You need to log in to complete this action!
Register for Free
8065074
Quiz of Symbols in Electronic Circuit Diagrams
Description
This is a quiz about symbols in electronic circuit diagrams.
No tags specified
circuitdiagrams
symbolselectronic
electronics information
asvab
Quiz by
Tomas Lopez
, updated more than 1 year ago
More
Less
Created by
Tomas Lopez
almost 9 years ago
138
0
0
Resource summary
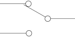
Question 1
Question
What is its name?
Image:
c78c7404-8375-41f6-9871-0abd9193cd6d (image/png)
Answer
Battery
Ground
Amplifier
AC Power Supply
Question 2
Question
What is its name?
Image:
593df1c8-d617-4004-85f6-6bbddef03a0b (image/jpeg)
Answer
Wire
Cell
Joined Wires
Unjoined Wires
Question 3
Question
What is its name?
Image:
6d85ddb9-4842-400a-bb90-ae84b228c0b6 (image/png)
Answer
Cell
Wire
Joined Wires
Question 4
Question
What is its name?
Image:
2f8533d9-2cb2-4e3f-bdd4-63f8166c04bc (image/png)
Answer
DC Power Supply
Cell
Battery
AC Power Supply
Question 5
Question
What is its name?
Image:
517b83a4-3bb8-4295-8cdd-36f9787eab4e (image/png)
Answer
AC Power Supply
DC Power Supply
Battery
Cell
Question 6
Question
What is its name?
Image:
ba39fb65-b677-44fa-84f4-7b83e820c21f (image/jpeg)
Answer
AC Power Supply
Battery
DC Power Supply
Cell
Question 7
Question
What is its name?
Image:
5c7e4ff8-a27c-465d-8ede-e631c282544a (image/jpeg)
Answer
Amplifier
Transformer
Antenna
Fuse
Question 8
Question
What is its name?
Image:
de1cd259-69a0-438a-9134-8165f4c9f74d (image/png)
Answer
Transformer
Transistor
Antenna
Diode
Question 9
Question
What is its name?
Image:
c5853126-a65f-457d-82a0-690df1789b23 (image/jpeg)
Answer
Ground
Inductor
Fuse
Transformer
Question 10
Question
What is its name?
Image:
60306197-d2a8-483b-9e72-48be0041b653.gif (image/gif)
Answer
Fuse
Resistor
Relay
Heater
Question 11
Question
What is its name?
Image:
db1459d4-3061-459c-9779-e9bd9d374749 (image/png)
Answer
Inductor
Joined Wires
Capacitor
Transformer
Question 12
Question
What is its name?
Image:
9c081d7c-f34a-4955-bca8-7d3e18daad57 (image/jpeg)
Answer
Inductor
Resistor
Preset Variable Resistor
Relay
Question 13
Question
What is its name?
Image:
be697edb-3175-49f0-aa25-943d15f17dde (image/png)
Answer
Relay
Resistor
Preset Variable Resistor
Inductor
Question 14
Question
What is its name?
Image:
a2365c0f-78d9-4d98-96e3-6424550a5ed4 (image/png)
Answer
Potentiometer
Fuse
Preset Variable Resistor
Rheostat
Question 15
Question
What is its name?
Image:
5fa6e28c-3fe8-42f1-acb3-d15fb5566b0c (image/png)
Answer
Fuse
Potentionometer
Preset Variable Resistor
Rheoster
Question 16
Question
What is its name?
Image:
75410311-9a79-469e-90e8-96e83bc2ceef (image/png)
Answer
Capacitor
Variable Capacitor
Polarized Capacitor
Fuse
Question 17
Question
What is its name?
Image:
5db2f820-3f0e-4f24-9416-5f68d4b75eb2 (image/jpeg)
Answer
Capacitor
Variable Capacitor
Polarized Capacitor
Fuse
Question 18
Question
What is its name?
Image:
199f1bb1-ef1d-454c-b8d3-76ec7dcac618 (image/png)
Answer
Capacitor
Variable Capacitor
Polarized Capacitor
Fuse
Question 19
Question
What is its name?
Image:
37a25e1f-efc0-4191-8ec9-dd1fabda5b96 (image/png)
Answer
Variable Capacitor
Diode
Push Switch
Relay
Question 20
Question
What is its name?
Image:
ac20a273-964a-4824-baf0-5ca628ef8ed2.gif (image/gif)
Answer
Light-Emitting Diode (LED)
Transformer
Relay
Lighting Lamp
Question 21
Question
What is its name?
Image:
4e417055-7b66-469f-8d67-6f468cde449c (image/png)
Answer
Light-Emitting Diode
Transformer
Relay
Lighting Lamp
Question 22
Question
What is its name?
Image:
8e9b4287-833d-4612-bb0d-e7fdac833419 (image/png)
Answer
Indicator Light
Lighting Lamp
Motor
Bell
Question 23
Question
What is its name?
Image:
616fe830-0a61-4222-adbf-39de9a672d5d (image/png)
Answer
Indicator Light
Lighting Light
Motor
Fuse
Question 24
Question
What is its name?
Image:
3dd5bc2c-a307-4de6-a908-1eb72c9a5a74 (image/jpeg)
Answer
Motor
Antenna
Joined Wires
Unjoined wires
Question 25
Question
What is its name?
Image:
752c6c98-8453-4258-9cb1-17f870eb4d8f (image/jpeg)
Answer
Push Switch
Push to Break Switch
On/Off Switch
2 Way Switch
Question 26
Question
What is its name?
Image:
77b27d42-93a8-48e9-b402-a70e20c56ff5 (image/jpeg)
Answer
Push Switch
Push to Break Switch
On/Off Switch
2 Way Switch
Question 27
Question
What is its name?
Image:
4f49e315-6bf6-4779-be09-37fb8f882c35 (image/png)
Answer
Push Switch
Push to Break Switch
On/Off Switch
2 Way Switch
Question 28
Question
What is its name?
Image:
b3ba8ec6-2188-460b-85da-87338f46db1f (image/png)
Answer
Push Switch
Push to Break Switch
On/Off Switch
2 Way Switch
Question 29
Question
What is its name?
Image:
68baeee8-0086-4842-beec-24bbde167bc1 (image/jpeg)
Answer
Dual On/Off Switch
Push Switch
On/Off Switch
2 Switch
Show full summary
Hide full summary
Want to create your own
Quizzes
for
free
with GoConqr?
Learn more
.
Similar
Symbols in Electronic Circuit Diagrams
Tomas Lopez
Definition of Symbols in Electronic Circuit Diagrams
Tomas Lopez
Browse Library