Lecture 3 - Colour

Descripción

Ch. 5
Andra .
Apunte por Andra ., actualizado hace más de 1 año
Andra .
Creado por Andra . hace alrededor de 9 años
38
0

Resumen del Recurso

Página 1

Chapter 5

Luminance = the black & white information we get from our surroundings (no colour)The visible spectrum is the section of the electromagnetic spectrum that we are able to see (400-700 nm?). The wavelength of the rays are what determines their type (visible, microwaves, radio, ultraviolet etc). We are most sensitive around 550 nm (green, probably because most stuff was green due to chlorophyll).The visible spectrum is only called that because it is what humans can see. Snakes, for example, can see infrared light. Humans would be unable to see infrared because we are warmblooded, our blood vessels would "glow" inside our eyes. Other species, like birds or insects, can see UV light (useful for seeing "hidden" patterns, like in flowers for example. this is why you see UV lights that electrocute flies, they are attracted to them). Humans reject UV lights because they damage the retina gradually. Since we live way longer than birds or bees, it would be catastrophic (although we don't reject them completely). This is why we need to wear sunglasses in high-UV light environments. To interpret the visible spectrum, humans usually have 3 types of cones: red, blue, green (meaning they detect those colours). Some believe that these colours are special, but in reality, we could have any 3 cones that detect wavelengths which are reasonably spaced apart on the spectrum and we'd be able to match the wavelengths of any colour. The reason why paint doesn't work the same way when you combine it is because it's a subtractive system, rather than an additive one. Pan works by absorbing all light except a specific wavelength, so when you combine red, green and blue paint, you absorb almost all light and end up with black. When you combine pure red, green and blue wavelengths (like lights), there is no subtracting going on, so you end up with white.If we only had one rod, we would be unable to distinguish differences in wavelength from differences in intensity. So, if we only had a green cone, a wavelength of 550 would be indistinguishable from one of 480 (which we would be half as sensitive to) with double the intensity. That is called the principle of univariance. At night, when only our rods are active, we disregard wavelength and only report luminance information to account for this principle.

Página 2

We don't have many blue cones in the eye (10%). This is because replacing other cells with blue cones would sacrifice the acuity that we already have. Also, because of chromatic aberration, blue and violet lights are already out of focus in our vision. Therefore, there is no need for any fine detail to be picked up. There seem to be no blue cones in the fovea.Most mammals only have blue and yellow vision (dichromatic).We obtained our trichromatic vision by splitting our yellow cones into red and green ones.

Página 3

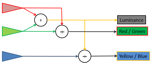
Colour opponencyAs we said, it is impossible to differentiate intensity from wavelength with monochromatic vision. So in a dichromatic animal, for example, the intensity of light is measured through the frequency of the cones' firing rate, while wavelength is measured through the ratio. So, for example: a firing rate of 1/sec for blue cones and 2/sec for yellow ones would be considered low intensity, with a ratio of 1:2. A rate of 10/sec and 20/sec is a higher intensity, but the ratio remains the same, so the colour perceived doesn't change.In trichromatic animals, the system gets a bit more complicated:

Red and green cones analyse luminance/intensity and red green colouring (through ratio). Through combining red and green wavelengths, we get yellow, which contributes to the blue/yellow ratio (we divide the luminance signal with the blue one). This type of encoding is called opponent coding, because it compares the activities of different cones (red-green ratio is increased by more red but can then be decreased again by more green).This opponency explains the colours we see as an after-effect when staring at something for too long.

Página 4

Colour-opponent cellsResearch shows that there are colour-opponent cells in the brain (similar to the ON and OFF centre cells), which, for example become excited by green and inhibited by red (G+/R- cells). These are carried by the parvocellular layers of the LGN. Colour-opponent blue-yellow cells are carried by koniocellular pathways. It is therefore reasonable to conclude that we have in fact 2 colour systems: red-green and yellow-blue.

Página 5

Colour blindnessMost people are trichromats, which means they have 3 types of cones which are most sensitive to 3 types of wavelenghts.Some people have one missing or miss-tuned cone: dichromats. Although they are called colour blind, they can still see colour, but have a hard time distinguishing between certain pairs of colours.Depending on which type of cones are missing, dichromatic/colour blind people can have: protanopia - red cones (people with this condition are called protanopes) deuteranopia - green cones (people are called deuteranopes) tritanopia - blue cones (people are called tritanopes) If the cones are miss-tuned, they can have: protanomaly (red cones are less sensitive to red than typical ones) deuteranomaly (green cones less sensitive to green and shift more towards red wavelengths) The most common form of colour blindness is deuteranomaly (5% in males and 0.35% in females) and the rarest is tritanopia (<0.1% in both).Colourblindness in general is significantly more common in males than females, since the genes for red-green cones are situated on the X chromosome.True colour blindness, cone monochromacy (only one type of cone) and rod monochromacy (no cones at all, also cannot see in daylight), is extremely rare.It is possible to acquire a form of colour blindness. Blue cones are very sensitive to diabetes and drug taking and can be damaged.

Página 6

Cortical processes in colour visionColour is analysed in area V1, but it is separated from lighting in area V4 or V8. A cell in area V1 changes its response if the illumination of the picture changes, but a cell in area V4/V8 might not.People with damage to their V8 area have cerebral achromatopsia, making them see the world in shades of grey, even if their cones are in perfect condition. They can detect intensity, but not colour. Area V8, and not V4, is also the one who is active when we encounter purely colour-related (and not luminance related) information. This tells us that area V8 is possibly very important to colour processing. Interestingly, area V8 is also active when we encounter after-effect images. This could possibly mean that it is important for conscious colour perception.

Página 7

Colour constancyIt appears that our visual system takes into consideration lighting when analysing an object's colour. It does so by considering the surrounding environment. If all of the objects in the room are giving off red-ish wavelengths, our brain considers if the actual colour of the room is red or it's caused by the lighting. Therefore, we can see the true colours of objects and they remain constant regardless of lighting. This was tested with the Mondrian pattern. It is believed that this separation is done somewhere in the V4/V8 area.

Página 8

ALSO:some women have 4 cone typesfilling in is (probably) done in area V1

Mostrar resumen completo Ocultar resumen completo

Similar

Cell Biology
foleyshannon0
Unit 5: Evolution
Gurleen Dhillon
Chemistry 5 Cracking Hydrocarbons GCSE Core
Chloe Roberts
Comparative Vs. Superlative - Grade 5
Stephanie Constantino
traveller 5 vocabulary
siham
Context Clues
Stephanie Constantino
Punctuating Dialogue - Grade 5
Stephanie Constantino
Mechanics-Chapter 5-Moments
Thomas Marshall
Identify Parts of Speech - Grade 5
Stephanie Constantino
Computer Networking Quiz 4, 5, 6
Genardas Janonis
Coordinating and Subordinating Conjunctions - Grade 5
Stephanie Constantino